• Предмет: Химия
  • Автор: litvinovaalice662
  • Вопрос задан 3 года назад

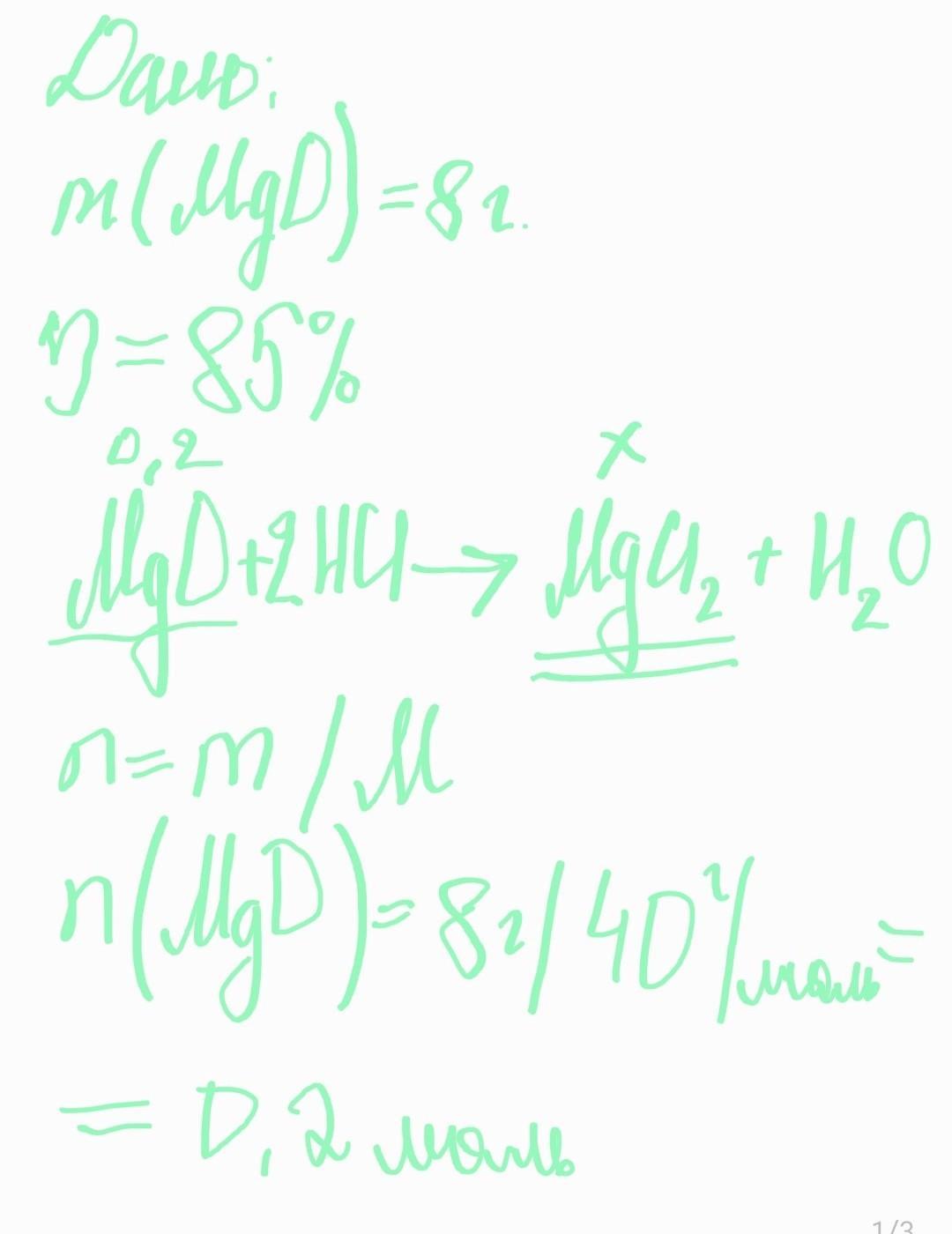
Провели реакцию 8г оксида магния с соляной кислотой. Какую
массу соли получили, если практический выход продуктов реакции
составляет 85% от теоретически возможного?

Ответы

Ответ дал: supersonichedgehog
0

Ответ:

m(практического MgCl2)=16,15 г.

Приложения:
Вас заинтересует