Ответы
Ответ дал:
1
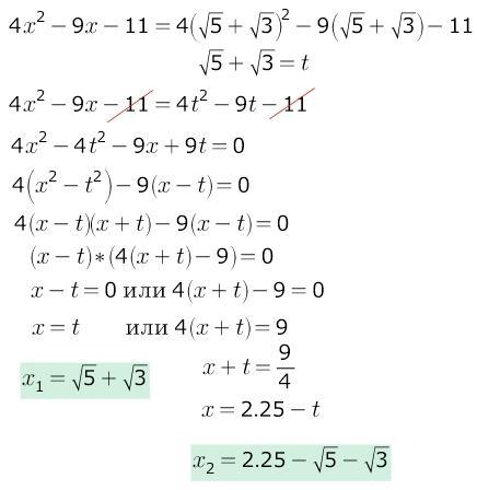
Ответ: х₁ = √5 + √3; х₂ = 2.25-√5-√3
Объяснение: удобно иррациональное число в скобках заменить переменной (чтобы не мешало упрощать выражение), потом привести подобные и разложить на множители...
квадратное уравнение имеет два корня...
Приложения:

Вас заинтересует
2 года назад
2 года назад
2 года назад
2 года назад
7 лет назад
7 лет назад