• Предмет: Математика
  • Автор: gugasa
  • Вопрос задан 3 года назад

Помощь с матрицами !!! Очень нужна помощь

Приложения:

Ответы

Ответ дал: bearcab
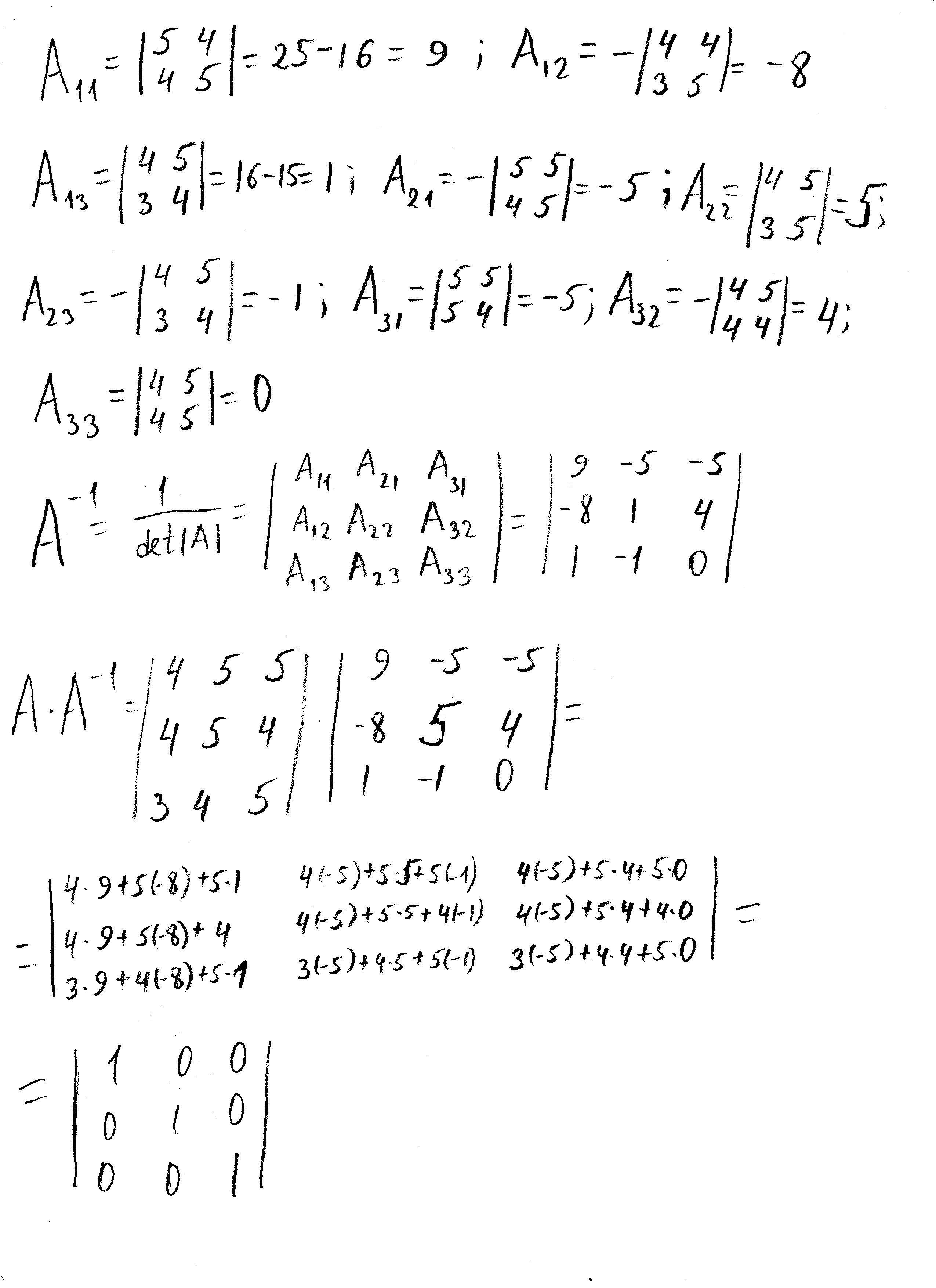
1

Ответ:

1)

AB=\left[\begin{array}{cc}0&0\\0&0\end{array}\right]

BA=\left[\begin{array}{cccc}-4&6&0&2\\-3&2&-2&2\\4&-1&4&-3\\1&6&6&-2\end{array}\right]

2.

A^{-1}=\left[\begin{array}{ccc}9&-5&-5\\-8&5&4\\1&-1&0\end{array}\right]

Пошаговое объяснение:

Решение в приложении

Приложения:

Czaryok: Здравствуйте, можете мне помочь с заданием? https://znanija.com/task/41747498
Вас заинтересует