• Предмет: Математика
  • Автор: Taylor1799
  • Вопрос задан 3 года назад

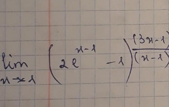
Найти предел( Без Лопиталя) ​

Приложения:

Ответы

Ответ дал: pushpull
0

Ответ:

Пошаговое объяснение:

используем  свойства второго замечательного предела:

\lim_{n \to 1} (1+\frac{a}{n} )^{bn}=e^{ab}

\lim_{n \to1} (2e^{n-1}-1)^{\frac{3n-1}{n-1}} = \lim_{n \to 1} (1+2(e^{n-1}-1))^{\frac{3n-1}{n-1} =

= \lim_{n \to 1} (1+2(e^{n-1}-1))^{\frac{3n-1}{n-1} *2(e^{n-1}-1)}

так как     \lim_{n \to 1} (\frac{2(3n-1)(e^{n-1}-1)}{n-1} =4

то  \lim_{n \to 1} (1+2(e^{n-1}-1))^{\frac{3n-1}{n-1} }=e^4

и тогда   \lim_{n \to1} (2e^{n-1}-1)^{\frac{3n-1}{n-1}} = e^4


Taylor1799: "то lim" а как мы в этой спрочке получили "е"? если подставить значение, то выходит, что в степени 2 делится на 0
pushpull: в самом верху написан предел по второму замечательному пределу. е как раз оттуда
Taylor1799: вы уверены, что мы должны в степени умножить на "2(е^n-1...)"?
pushpull: ну, решите подругому. вам же надо без ЛОпиталя. я подругому не знаю как.... что умела, то и написала...
Вас заинтересует