• Предмет: Математика
  • Автор: tina080987
  • Вопрос задан 3 года назад

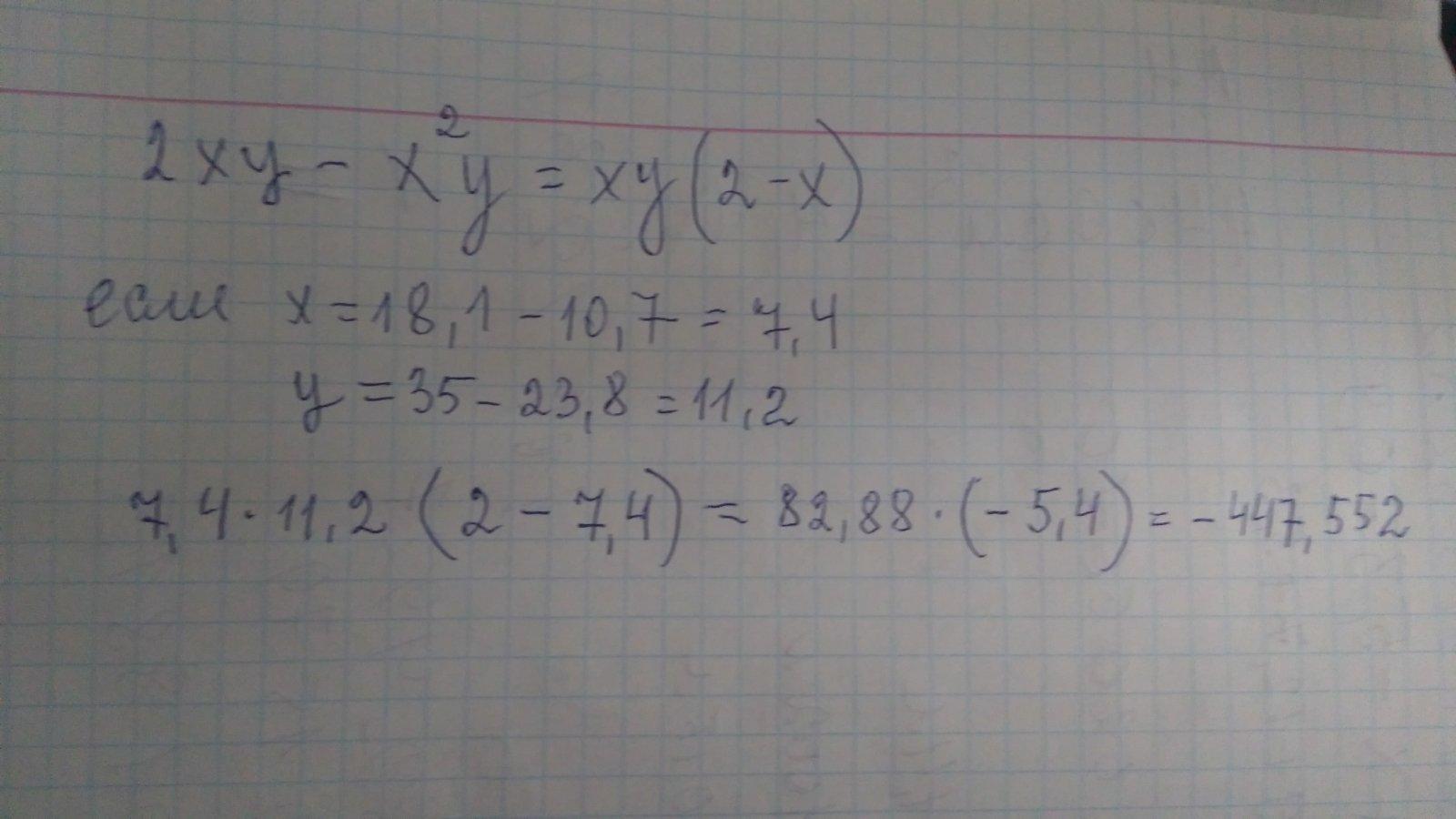
Найдите значение выражения 2xy-x2y , если x=18,1-10,7 и y=35-23,8.

Ответы

Ответ дал: igorstepanets1996777
1

Ответ:

0

Пошаговое объяснение:

2×(18,1-10,7) ×(35-23,8)-(18,1-10,7)×2(35-23,8)=2×(7,4-11,2)-(7,4)×2×(11,2)=165,76-165,76=0

Ответ дал: v8i5p4go7s
1

Ответ:

Пошаговое объяснение:

см фото

Приложения:
Вас заинтересует