Срочно!!! ЗА ХОРОШИЙ ОТВЕТ ДАЮ 96 баллов. Помогите решить только 5 и 6. Очень прошу.
Приложения:

Ответы
Ответ дал:
1
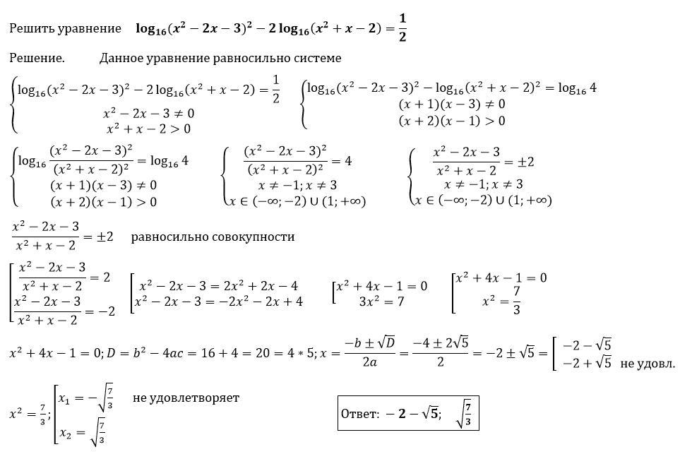
Ответ:
Объяснение:
.................................................
Приложения:


Вас заинтересует
2 года назад
2 года назад
2 года назад
2 года назад
7 лет назад
7 лет назад
9 лет назад