Ответы
Ответ дал:
2
Ответ:
Думаю, что здесь ответы правильные.
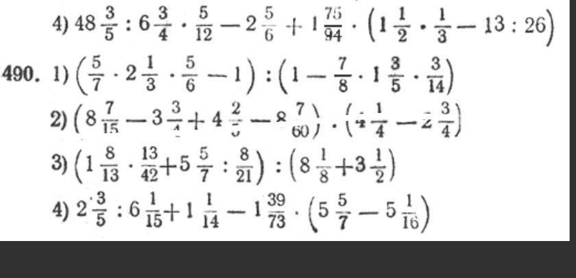
Приложения:


Вас заинтересует
2 года назад
2 года назад
2 года назад
2 года назад
7 лет назад
7 лет назад
9 лет назад
9 лет назад