• Предмет: Математика
  • Автор: HappyWorld
  • Вопрос задан 3 года назад

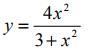
Провести исследование и построить график

Приложения:

Ответы

Ответ дал: natalyabryukhova
1

Ответ:

=================================

Пошаговое объяснение:

Приложения:
Вас заинтересует