• Предмет: Математика
  • Автор: doekrin
  • Вопрос задан 3 года назад

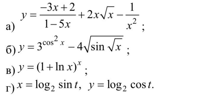
Найти производную dy/dx, если:

Приложения:

Ответы

Ответ дал: Miroslava227
2

Ответ:

а)

y '=  \frac{ - 3(1 - 5x) + 5(2 - 3x)}{ {(1 - 5x)}^{2} }  + 2 \times  \frac{3}{2}  {x}^{ \frac{1}{2} }  + 2 {x}^{ - 3}  =  \\  =  \frac{ - 3 + 15x + 10 - 15x}{ {(1 - 5x)}^{2} }  + 3 \sqrt{x}  +  \frac{2}{ {x}^{3} }  =  \\  =  \frac{7}{ {(1 - 5x)}^{2} }  + 3 \sqrt{x}  +  \frac{2}{ {x}^{3} }

б)

y' =  ln(3)  \times  {3}^{ { \cos }^{2} (x)}  \times 2 \cos(x)  \times ( -  \sin(x))  - 4 \times  \frac{1}{2}  {( \sin( \sqrt{x)} ) }^{ -  \frac{1}{2} }  \times  \cos( \sqrt{x} )  \times  \frac{1}{2 \sqrt{x} }  =  \\  =  -  ln(2)  \sin(2x)  \times  {3}^{ { \cos}^{2} (x)}  -  \frac{ \cos( \sqrt{x} ) }{ 2 \sqrt{x} \sqrt{\sin( \sqrt{x} ) } }

в)

y =  {(1 +  ln(x)) }^{x}  \\

по формуле:

y' = ( ln(y))'  \times y

( ln(y))'  = ( ln( {(1 +  ln(x)) }^{x} )'  =  \\  = (x \times  (ln( ln(x)  + 1) )) '=  \\  =  ln( ln(x)  + 1)  +  \frac{1}{ ln(x) + 1 }  \times  \frac{1}{x}  \times x =   \\ =  ln( ln(x)  + 1)  +  \frac{1}{ ln(x) + 1 }

y' =  {(1 +  ln(x)) }^{x}  \times ( ln( ln(x)  + 1)  +  \frac{1}{ ln(x)  + 1} ) \\

г)

x =  log_{2}( \sin(t) )  \\ y =  log_{2}( \cos(t) )

y'x =  \frac{y't}{x't}  \\

y't =  \frac{1}{ ln(2) \times  \cos(t)  }  \times ( -  \sin(t))  \\

x't =  \frac{1}{ ln(2)  \times  \sin(t) }  \times  \cos(t)  \\

y' x =  -  \frac{ \sin(t) }{ ln(2) \cos(t)  }  \times  \frac{ ln(2) \sin(t)  }{ \cos(t) }  =  \\  =  -  {tg}^{2} (t)

Вас заинтересует