Ответы
Ответ дал:
1
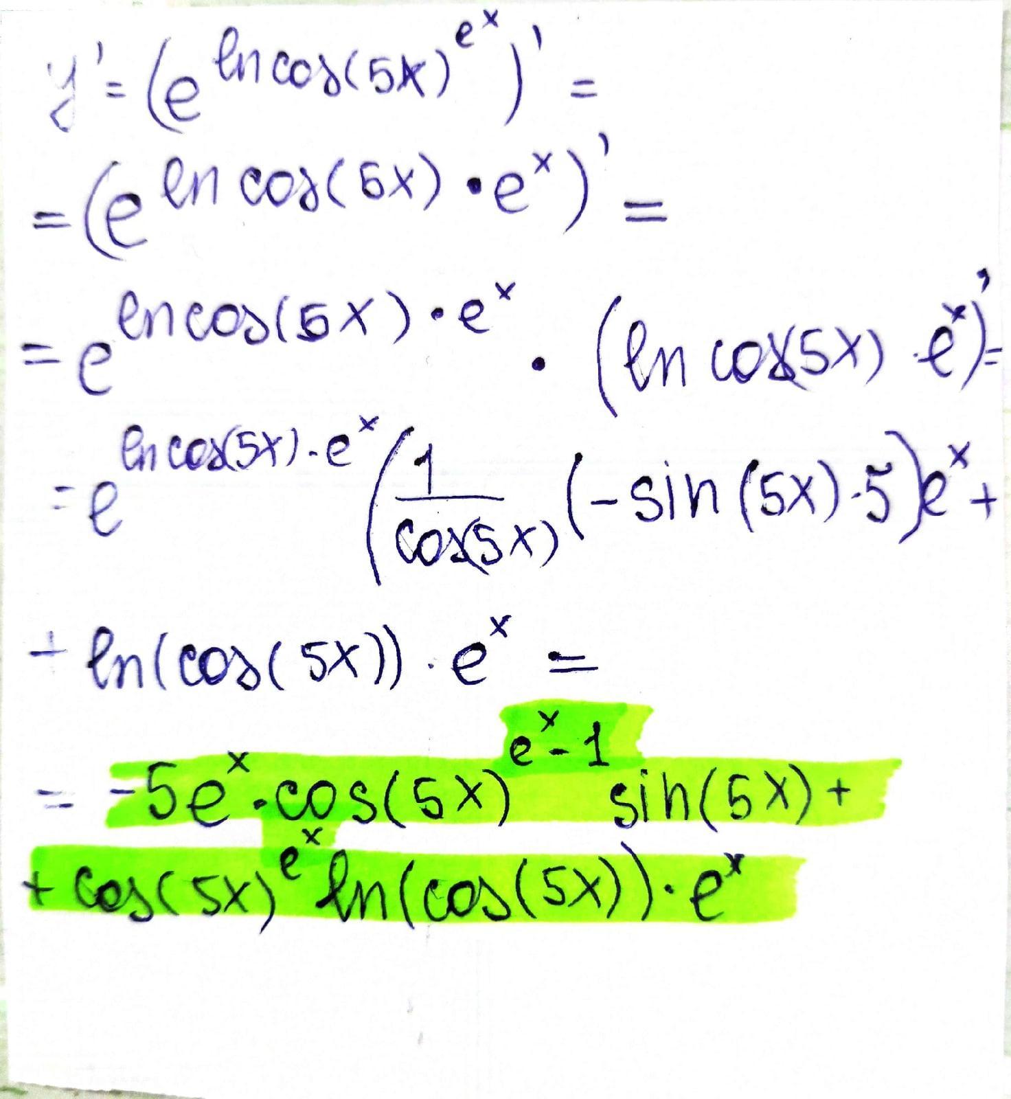
Ответ в прикрепленной фотографии. Использовалось правило дифференцирования сложной функции.
Приложения:

Вас заинтересует
2 года назад
2 года назад
2 года назад
2 года назад
7 лет назад
9 лет назад