• Предмет: Физика
  • Автор: meermanej32
  • Вопрос задан 3 года назад

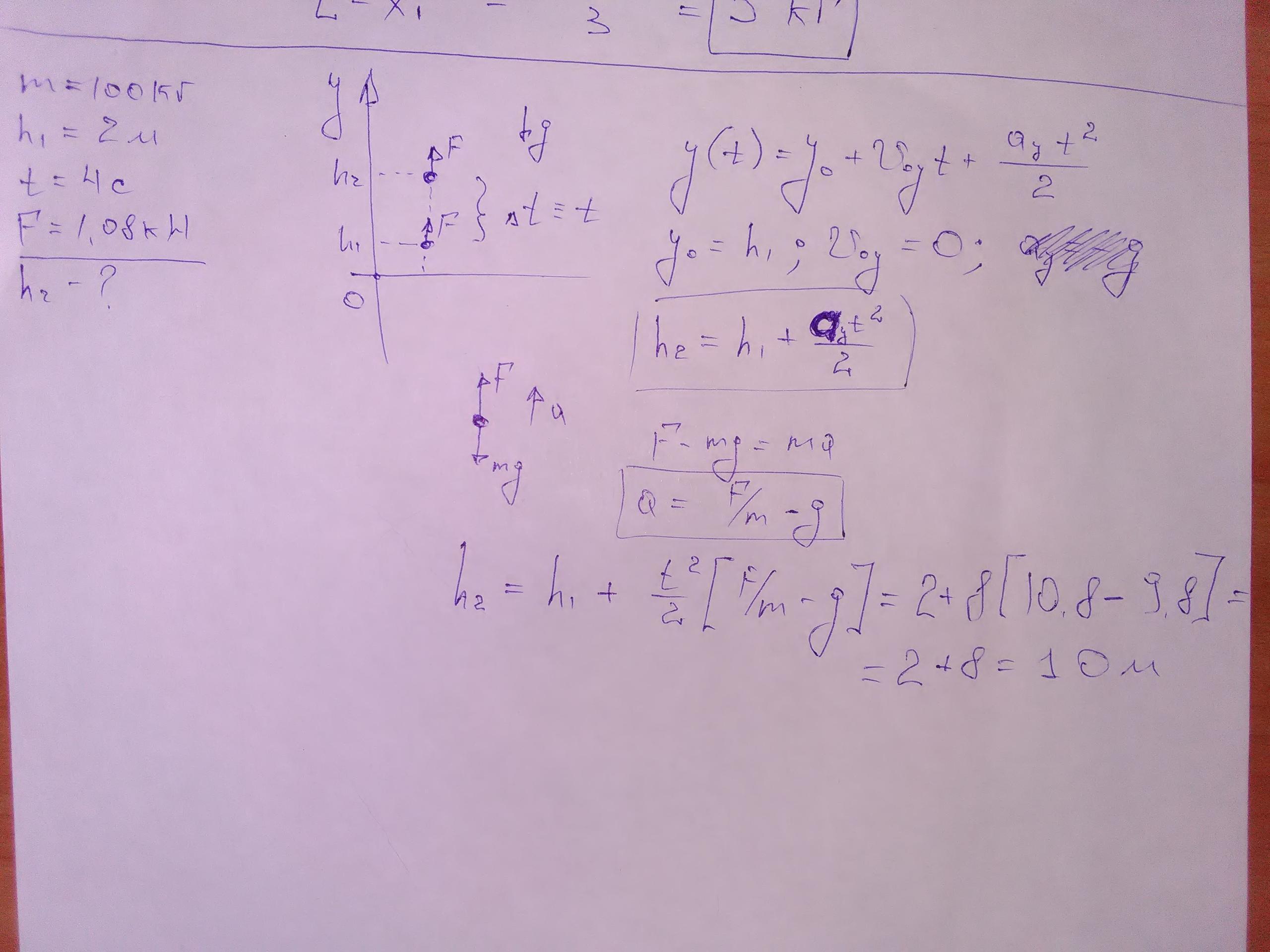
Груз массой 100кг начали поднимать, когда он находился на высоте 2 м от поверхности земли.На какой высоте будет находится груз через 4 с после начала подъёма, если на тело со стороны каната действует постоянная сила 1080 Н? ПОЖАЛУЙСТА ОЧЕНЬ СРОЧНО ЖЕЛАТЕЛЬНО С РИСУНКОМ И ОЬЯЗАТЕЛЬНО ДАНО С ОБЬЯСНЕНИЯМИ!!!​

Ответы

Ответ дал: UmbertoVargas
1

Ответ:

h2 = 10м

Объяснение:

для решения задачи достаточно двух уравнений: одного кинематического и одного динамического

кинематика тебе позволяет написать уравнение для координаты (благодаря которому ты и найдешь неизвестную высоту h2), а динамика найти ускорение, с которым движется тело

так что сначала я пишу общий вид зависимости y(t) (у нас равноускоренное движение, конечно), затем уточняю его: начальная координата по условию равна h1, а начальной скорости, мы считаем, что нет

в этом уравнении нам не задано ускорение, с которым движется тело. для этого пишем второй закон ньютона и находим его

Приложения:
Вас заинтересует