• Предмет: Алгебра
  • Автор: anonim02022
  • Вопрос задан 3 года назад

помогите/////////////////////////////////////////////////

Приложения:

Ответы

Ответ дал: Аноним
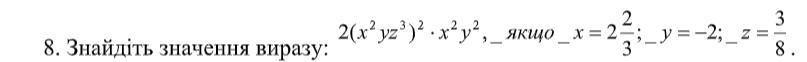
2

2 \times (x {}^{2} yz {}^{3} ) {}^{2} \times x {}^{2}  y {}^{2}  \\ 2x {}^{4} y {}^{2} z {}^{6} x {}^{2} y {}^{2}  \\ 2x {}^{6} y {}^{4} z {}^{6}

подставим: x= ⁸/3, y= -2, z = ⅜

2 \times ( \frac{8}{3} ) {}^{6}  \times ( - 2) {}^{4}  \times ( \frac{3}{8} ) {}^{6}  \\ 2 \times  \frac{8 {}^{6} }{3 {}^{6} }  \times 2 {}^{4}  \times  \frac{3 {}^{6} }{8 {}^{6} }  \\

сократить 8⁶ и 3⁶ в обеих частях

2 \times 2 {}^{4 }  \\ 2 {}^{5}  \\ 32

Вас заинтересует