• Предмет: Алгебра
  • Автор: shnaybekkyzyperizat
  • Вопрос задан 3 года назад

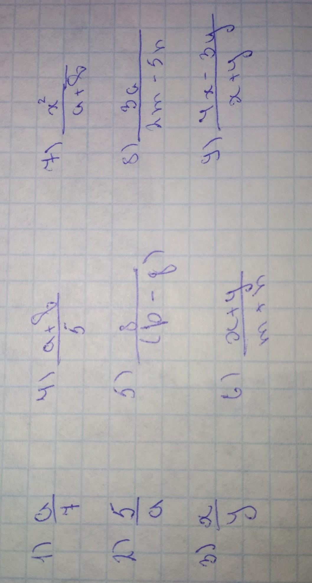
Запишите выражение в виде дроби
пжпжпжпжпжпжпж
11 баллов

Приложения:

Ответы

Ответ дал: 21473
0

.........відповідь в фото.......

Приложения:

Аноним: в 5) скобочки не нужны
Вас заинтересует