• Предмет: Алгебра
  • Автор: marinabalbot
  • Вопрос задан 3 года назад

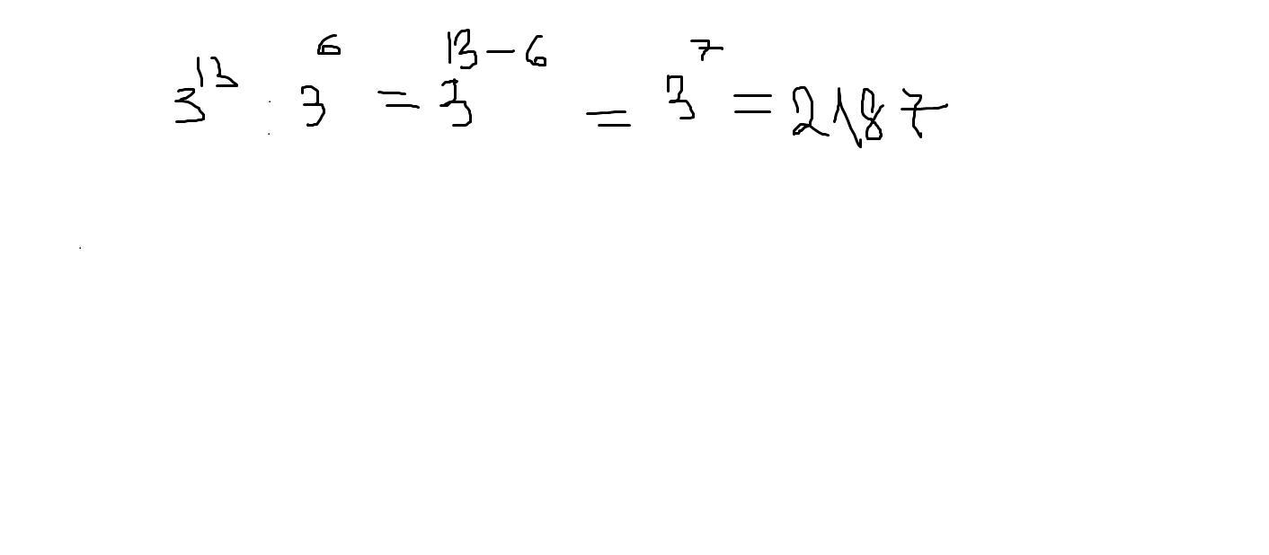
3¹³: 3⁶=


помогите пожалуйста решить этот вопрос​

Ответы

Ответ дал: про100АделинаВай
1

Ответ:

вот :)

Объяснение:

Приложения:
Ответ дал: huhuhuhulk1967
1

3¹³: 3⁶= 3^13-6=3^7=2187

Вас заинтересует