• Предмет: Алгебра
  • Автор: monotob
  • Вопрос задан 3 года назад

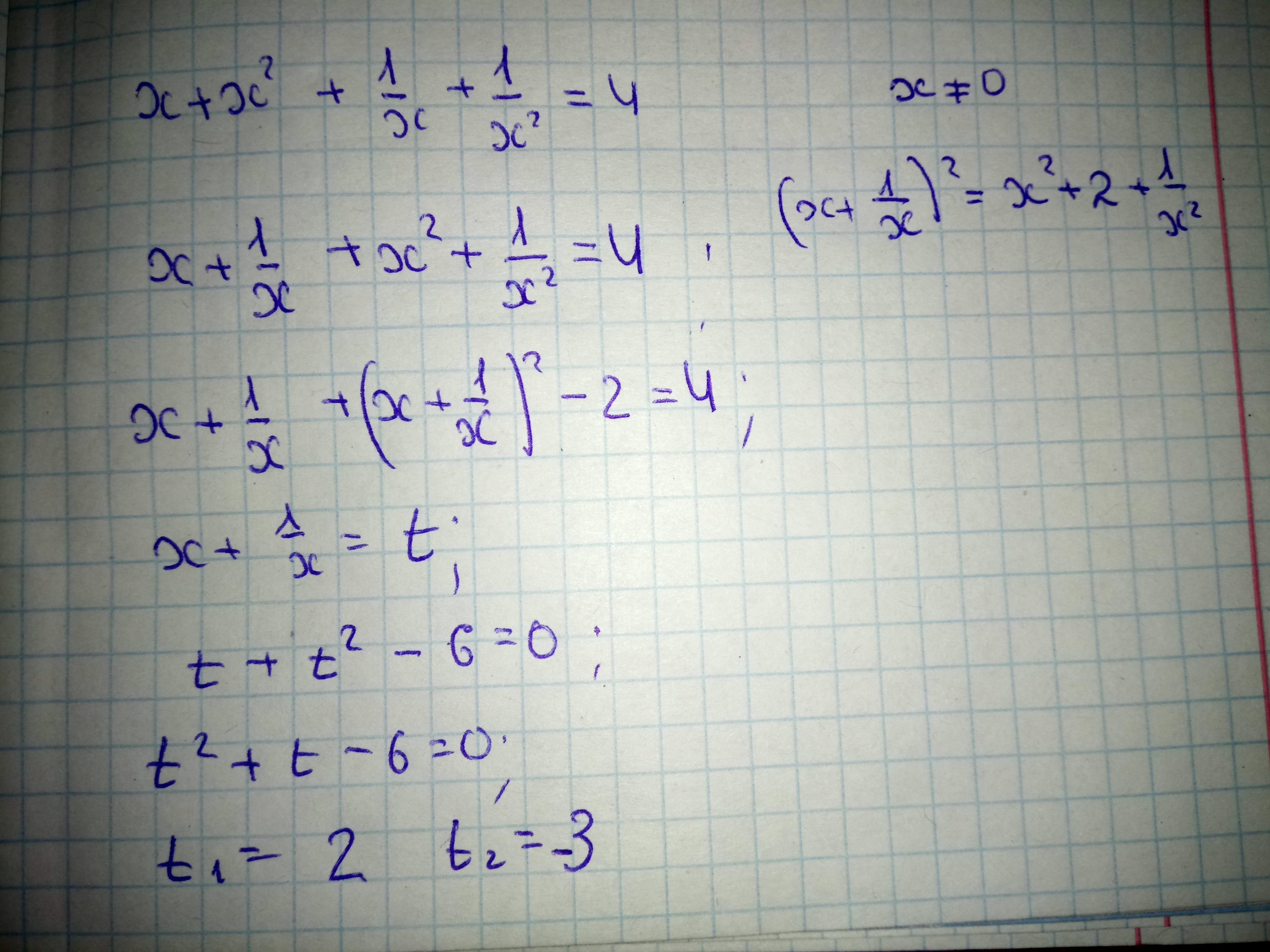
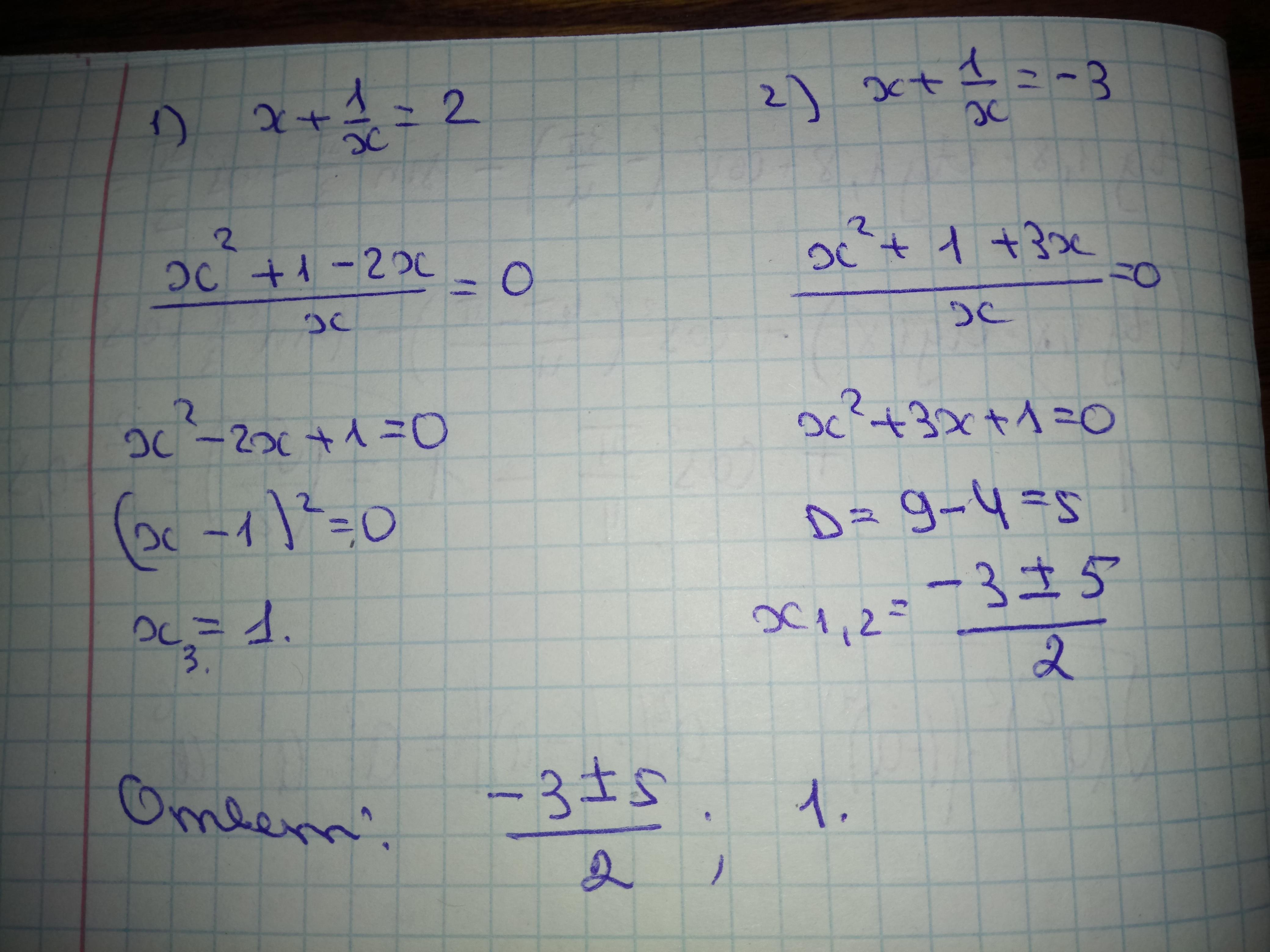
Решить уравнение


x +  x {}^{2}  +  \frac{1}{x}  +  \frac{1}{x {}^{2} }  = 4

Ответы

Ответ дал: Аноним
0

Решение задания прилагаю

Приложения:
Вас заинтересует