Ответы
Ответ дал:
3
Ответ:
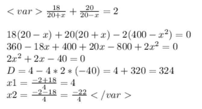
Пусть х км\ч - скорость течения реки.
(20 + х) км\ч - скорость катера за течением реки
(20 - х) км\ч - скорость каткра против течения
18/(20+х) - время на которое потратил катер по течению
20/(20-х) - время потраченое катером против течения
Составим уравнение:
Корень -22/4 - неподходит , скорость в отрицательном числе быть не может.
Значит
4 км\ч- скорость течения реки
Приложения:

Аноним:
благодарю вас
Вас заинтересует
2 года назад
2 года назад
7 лет назад
7 лет назад
9 лет назад