• Предмет: Алгебра
  • Автор: avagolub
  • Вопрос задан 3 года назад

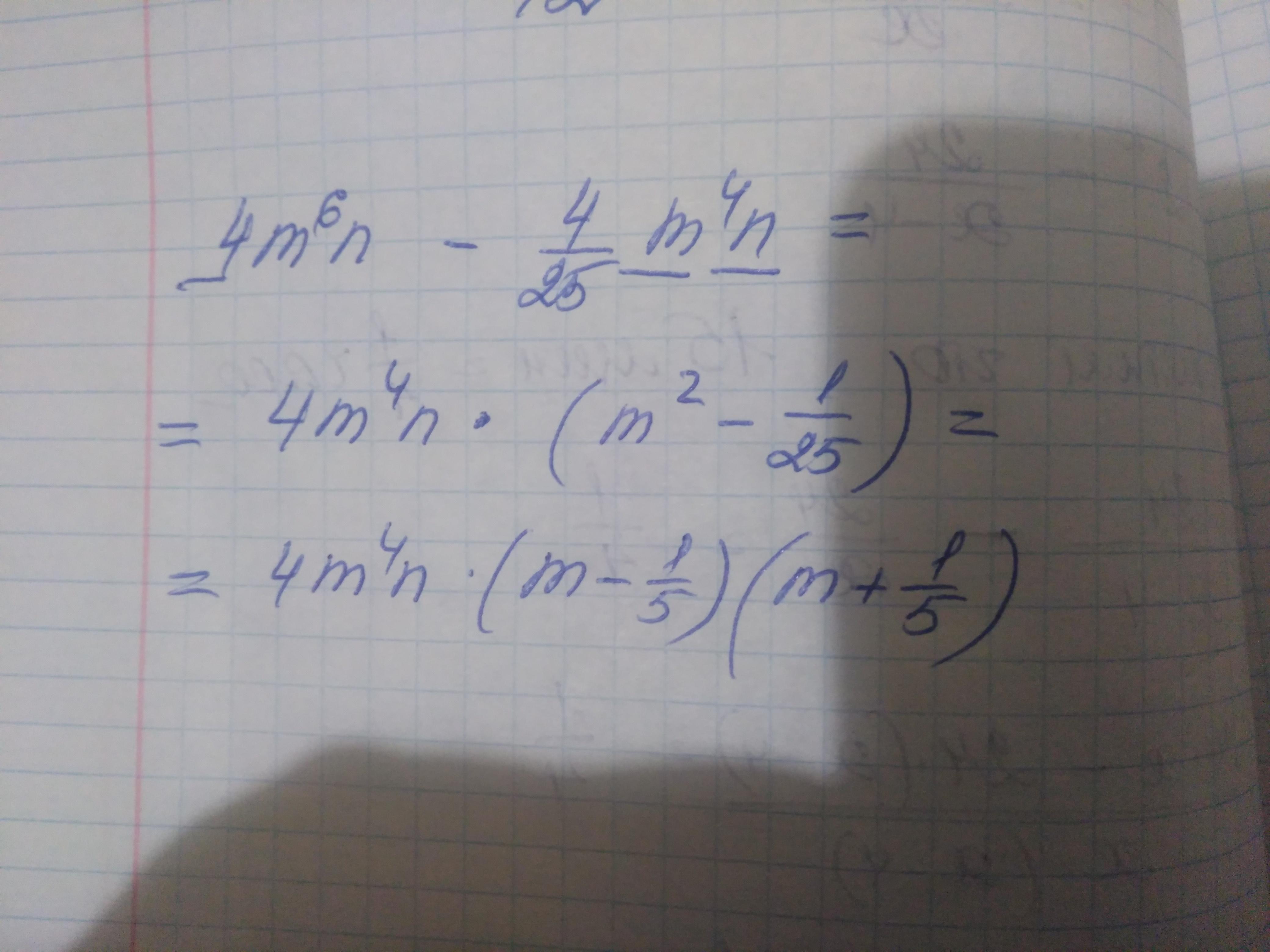
разложите на множители выражение 4m⁶n- 4/25m⁴n

Ответы

Ответ дал: MizoriesKun
15

Смотри.......................

Приложения:

Аноним: огооооолоо
Аноним: прости
askararuzana647: спасибо правильно
Аноним: спасибо
SKYLINEANDIII: уаууууу
SKYLINEANDIII: сооввааааа
Вас заинтересует