• Предмет: Алгебра
  • Автор: kseniyamut506
  • Вопрос задан 3 года назад

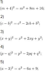
представьте выражение в виде многочлена :
1)(m+4)²
2)(c-d)²
3)(x+y)²
4)(p-p)²
5)(a-3)²

Ответы

Ответ дал: ilyaspivas
1

Ответ вот такой

Объяснение:

Приложения:
Вас заинтересует