• Предмет: Математика
  • Автор: ExTonBs
  • Вопрос задан 3 года назад

Распитать чтоб я понил пожалуйста :) там надо рациональным способом решить ​

Приложения:

Ответы

Ответ дал: ZlataSergeeva2000
1

Ответ:

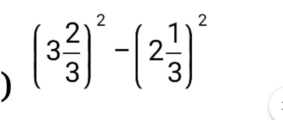
\Big (3\dfrac{2}{3} \Big )^2- \Big (2\dfrac{1}{3} \Big )^2 = \Big (3\dfrac{2}{3} - 2\dfrac{1}{3} \Big )\cdot \Big (3\dfrac{2}{3} + 2\dfrac{1}{3} \Big ) = \Big (1\dfrac{1}{3}\Big )\cdot \Big (6 \Big ) = \Big (\dfrac{4}{3}\Big )\cdot \Big (6 \Big ) = \dfrac{4\cdot 6}{3}  = 8

Пошаговое объяснение:

\Big (3\dfrac{2}{3} \Big )^2- \Big (2\dfrac{1}{3} \Big )^2

Разложим на множители по формуле разности квадратов

х² - у² = (х - у) · (х + у)

Получаем

\Big (3\dfrac{2}{3} - 2\dfrac{1}{3} \Big )\cdot \Big (3\dfrac{2}{3} + 2\dfrac{1}{3} \Big )

Проведём действия в скобках

\Big (1\dfrac{1}{3}\Big )\cdot \Big (6 \Big )

Представим 1-й множитель в виде неправильной дроби и произведём действие умножения

\Big (\dfrac{4}{3}\Big )\cdot \Big (6 \Big ) = \dfrac{4\cdot 6}{3}  = 8


ExTonBs: спс, главное я понил как решать
Вас заинтересует