Ответы
Ответ дал:
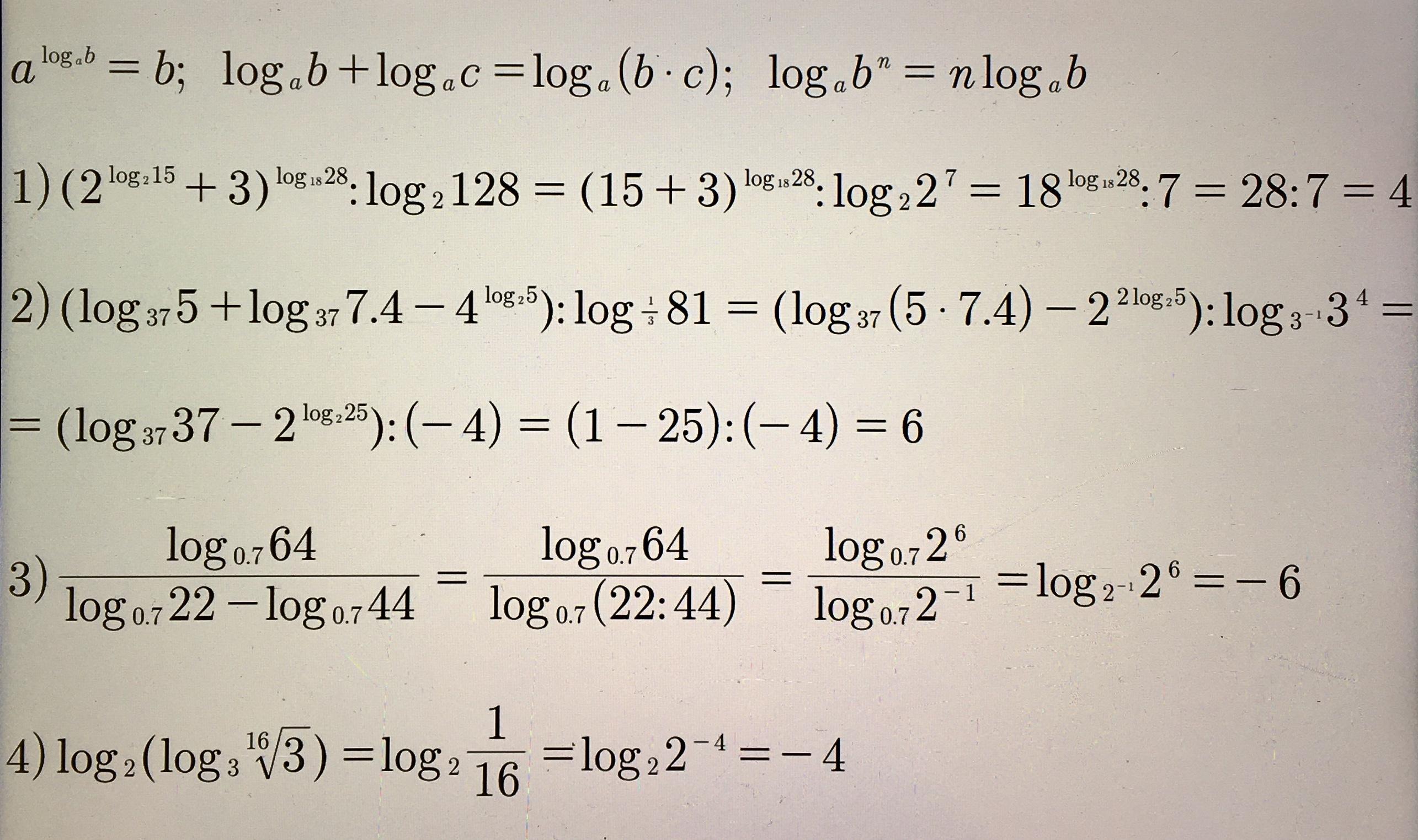
1
Ответ:
Объяснение:
............................
Приложения:

Вас заинтересует
2 года назад
2 года назад
2 года назад
2 года назад
7 лет назад
7 лет назад
9 лет назад
9 лет назад