• Предмет: Математика
  • Автор: azaruanskovm
  • Вопрос задан 3 года назад

помогите математику пж срочтно

Приложения:

Ответы

Ответ дал: MatemaT123
1

Ответ:

2

Пошаговое объяснение:

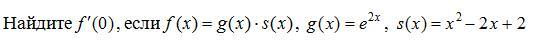
f(x)=e^{2x} \cdot (x^{2}-2x+2);

f'(x)=(e^{2x} \cdot (x^{2}-2x+2))';

f'(x)=(e^{2x})' \cdot (x^{2}-2x+2)+e^{2x} \cdot (x^{2}-2x+2)';

f'(x)=2e^{2x} \cdot (x^{2}-2x+2)+e^{2x} \cdot ((x^{2})'-(2x)'+2');

f'(x)=2e^{2x} \cdot (x^{2}-2x+2)+e^{2x} \cdot (2x-2);

x=0;

f'(0)=2 \cdot e^{2 \cdot 0} \cdot (0^{2}-2 \cdot 0+2)+e^{2 \cdot 0} \cdot (2 \cdot 0-2);

f'(0)=4 \cdot e^{0}-2 \cdot e^{0};

f'(0)=4 \cdot 1-2 \cdot 1;

f'(0)=4-2;

f'(0)=2;

Вас заинтересует