Ответы
Ответ дал:
0
Ответ:
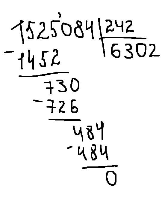
1525084 : 242 = 6302
Пошаговое объяснение:
Деление столбиком прикрепил.
Приложения:

Вас заинтересует
2 года назад
2 года назад
7 лет назад
7 лет назад
9 лет назад
9 лет назад