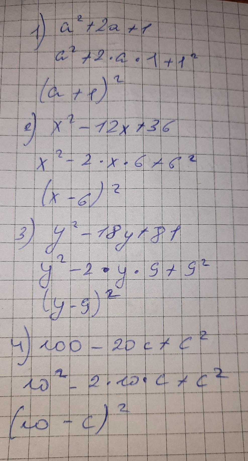
Ответы
Ответ дал:
0
Ответ:
что знаю)
Пошаговое объяснение:
вроде как так )
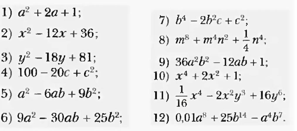
Приложения:

Вас заинтересует
2 года назад
7 лет назад
7 лет назад