• Предмет: Алгебра
  • Автор: tillemma
  • Вопрос задан 3 года назад

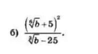
Сократите дробь СРОЧНО

Приложения:

Ответы

Ответ дал: NNNLLL54
0

Ответ:

\dfrac{(\sqrt[6]{b}+5)^2}{\sqrt[3]{b}-25}=\dfrac{(\sqrt[6]{b}+5)^2}{(\sqrt[6]{b}-5)(\sqrt[6]{b}+5)}=\dfrac{\sqrt[6]{b}+5}{\sqrt[6]{b}-5}\\\\\\\\\star \ \ \sqrt[3]{b}=\sqrt[6]{b^2}=(\sqrt[6]{b})^2\ \ \star

Вас заинтересует