• Предмет: Алгебра
  • Автор: pollyteenstory
  • Вопрос задан 3 года назад

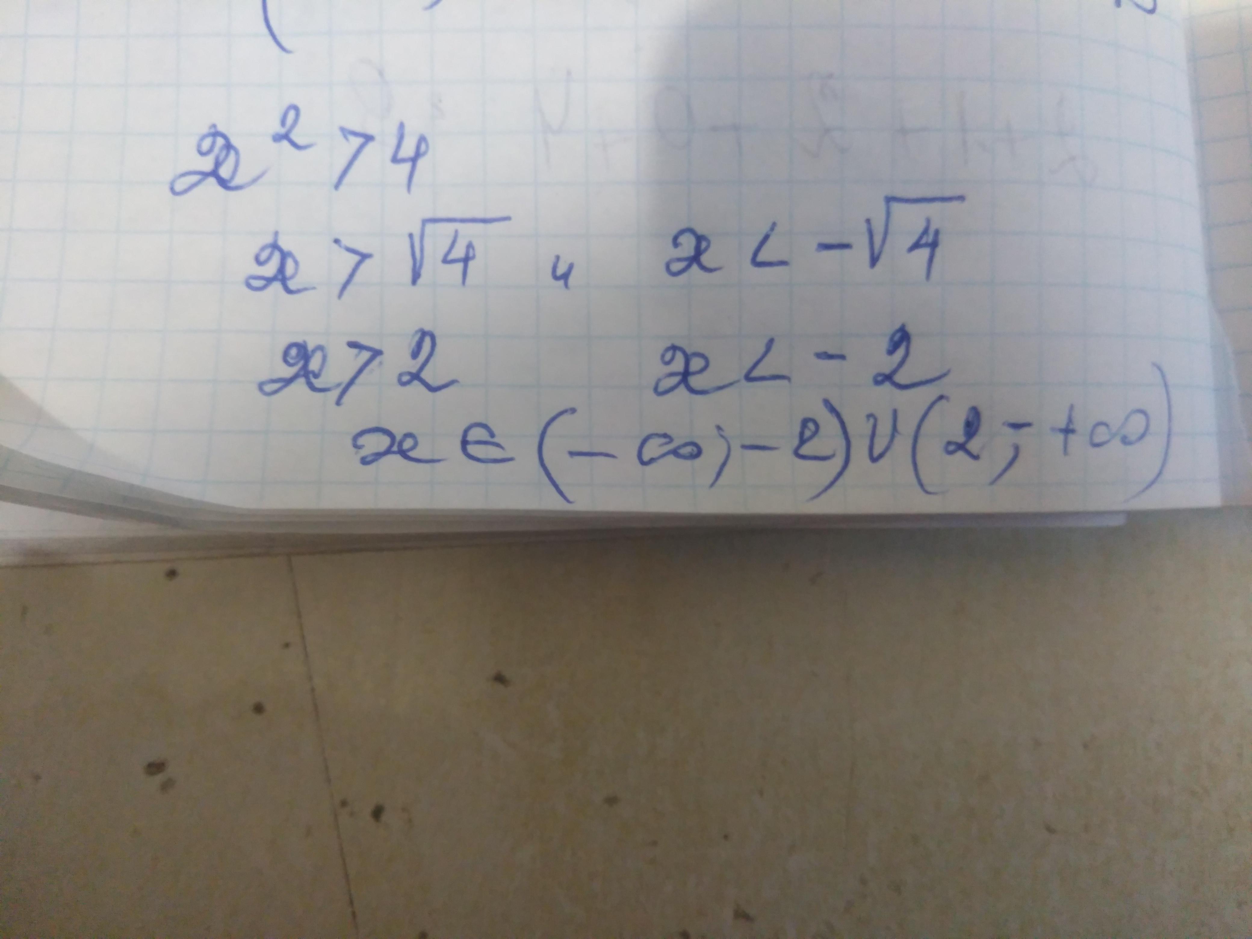
Знайдіть множину розв'язків нерівності х2 > 4

Ответы

Ответ дал: MizoriesKun
2

Смотри....................

Приложения:
Вас заинтересует