• Предмет: Математика
  • Автор: rabiejkristinkka97
  • Вопрос задан 3 года назад


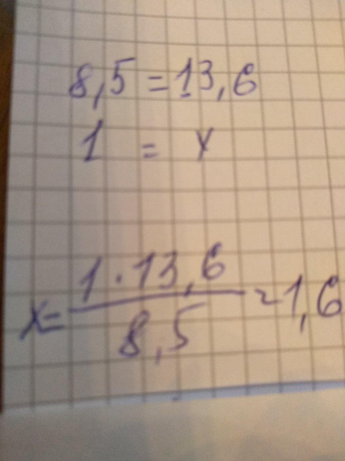
Знайди число якщо:1)8,5 його дорівнюють13,6 2) 25% його дорівнюють 62 1/2

Ответы

Ответ дал: ninochka59
2

Ответ:

1)1,6;       2)250

Пошаговое объяснение:

составляем пропорции и находит неизвестные.

Приложения:
Вас заинтересует