Ответы
Ответ дал:
1
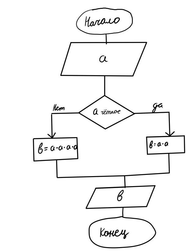
Блок-схема это распростарнённый тип схем, описывающих алгоритмы или процессы, в которыз отдельные шаги изображаются в виде блоков различной формы, соединённых между собой линиями, указывающими направление последовательности.
Овальные блоки показывает началу и конец алгоритма.
Прямоугольные блоки показывают расчёты.
Параллелограммы показывают ввод и вывод.
Ромбы показывают условие.
Приложения:

Вас заинтересует
2 года назад
2 года назад
7 лет назад
9 лет назад