• Предмет: Алгебра
  • Автор: muravevv498
  • Вопрос задан 3 года назад

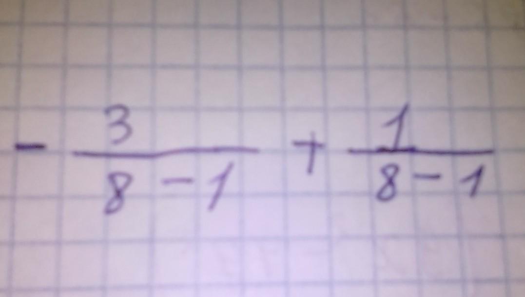
Помогите пожалуйста решить тут надо упростить выражение​

Приложения:

Ответы

Ответ дал: Ифигения
1

Ответ: -2/7

Объяснение:

-3/7+1/7=-2/7

Ответ дал: rchkpost
1
.........................
Приложения:
Вас заинтересует