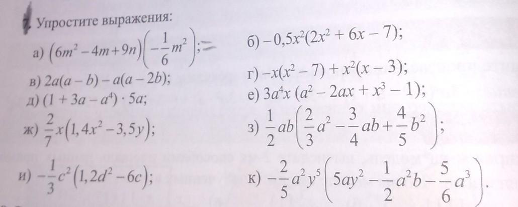
помогите пж дам балов
Приложения:

dima20063004:
что ты говоришь дам баллов а сам всего 5 даешь
Ответы
Ответ дал:
1
Ответ:
Пошаговое объяснение:
Приложения:




Вас заинтересует
2 года назад
2 года назад
2 года назад
7 лет назад
9 лет назад