• Предмет: Алгебра
  • Автор: muravevv498
  • Вопрос задан 3 года назад

Представьте в виде дроби помогите решить прошу вас​

Приложения:

Ответы

Ответ дал: 21473
1

Объяснение:

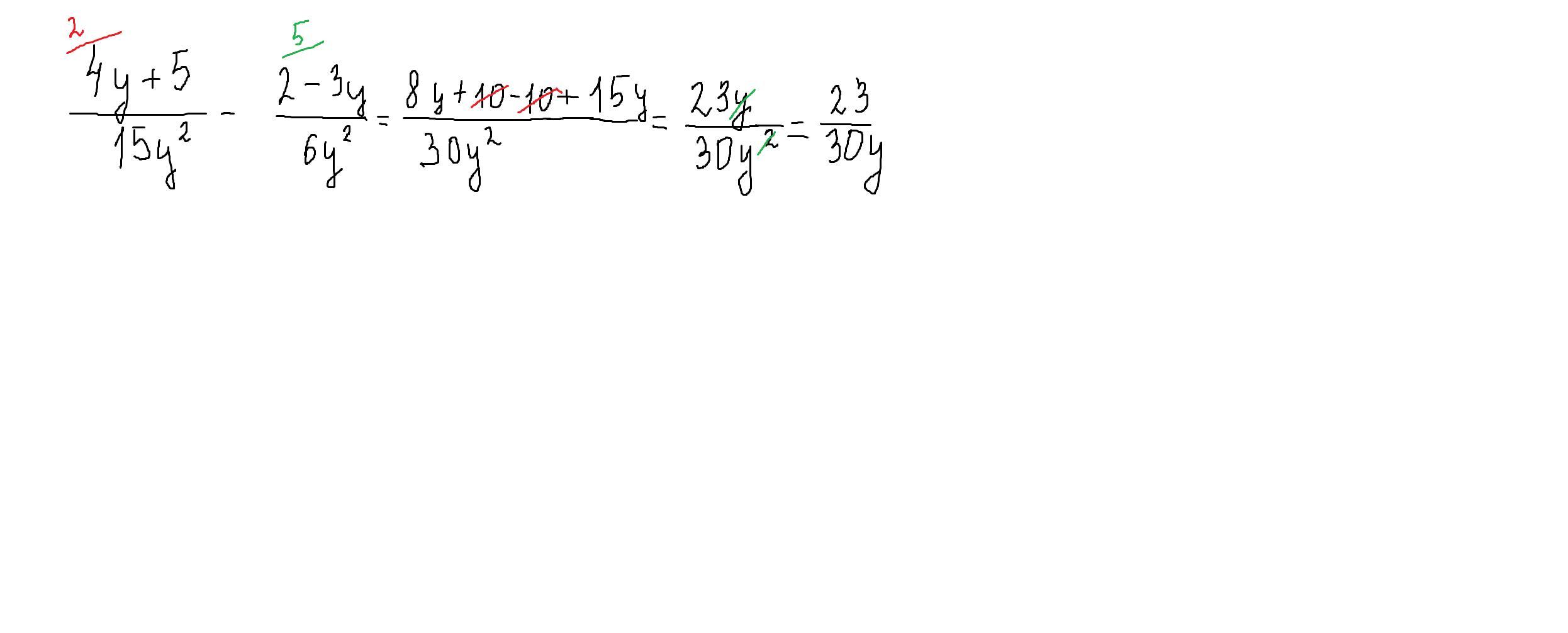
 \frac{4y}{15y {}^{2} }  -  \frac{2 - 3y}{6y {}^{2} }  =  \frac{23}{30y}


parus77: где решение?
Ответ дал: parus77
1

Ответ:

Объяснение:

решение внизу

Приложения:
Вас заинтересует