Ответы
Ответ дал:
0
Ответ:
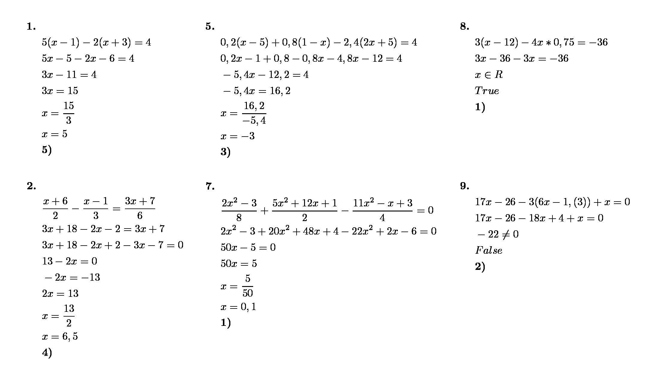
1. 5)
2. 4)
5. 3)
7. 1)
8. 1)
9. 2)
Пошаговое объяснение в прикреплённом файле.
Приложения:

Вас заинтересует
2 года назад
2 года назад
2 года назад
2 года назад
7 лет назад
7 лет назад
9 лет назад