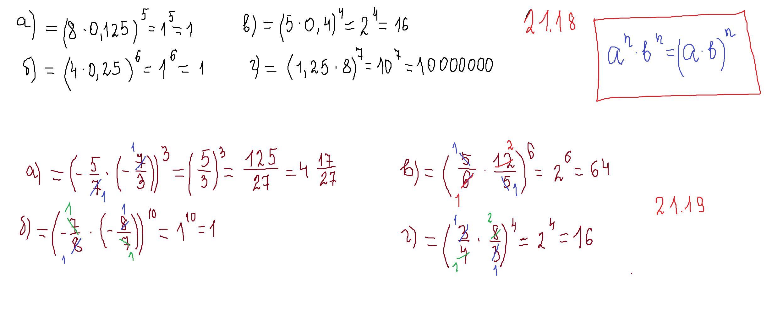
Найдите наиболее рациональным способом значение выражения:
ПОЖАЛУЙСТА БЫСТРЕЙ !!! МНЕ СРОЧНО НАДО !!!
Приложения:

Ответы
Ответ дал:
1
Ответ:
Объяснение:
решение внизу
Приложения:

Вас заинтересует
2 года назад
2 года назад
2 года назад