• Предмет: Математика
  • Автор: danyadocenko20
  • Вопрос задан 3 года назад

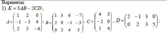
Найти матрицу. Даю 30 баллов

Приложения:

Ответы

Ответ дал: Miroslava227
0

Ответ:

решение на фотографии.

Приложения:
Вас заинтересует