• Предмет: Математика
  • Автор: inftech82
  • Вопрос задан 3 года назад

ПОМОГИТЕ ПРОШУ
Разгадай слово

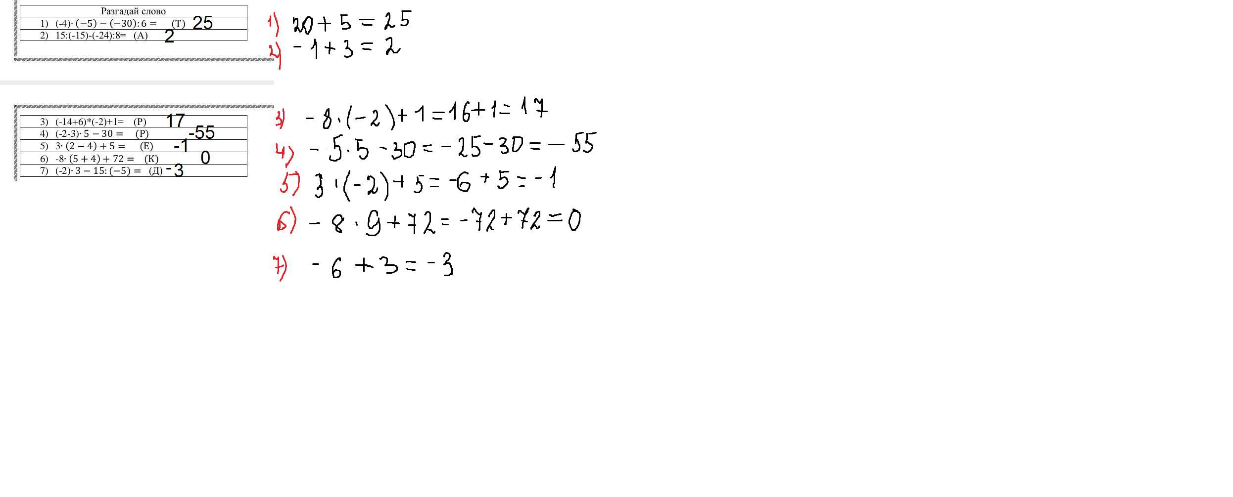
1) (-4)∙ (−5) − (−30):6 = (Т)

2) 15:(-15)-(-24):8= (А)
3) (-14+6)*(-2)+1= (Р)

4) (-2-3)∙ 5 − 30 = (Р)

5) 3∙ (2 − 4) + 5 = (Е)

6) -8∙ (5 + 4) + 72 = (К)

7) (-2)∙ 3 − 15: (−5) = (Д)

Приложения:

parus77: по какому принципу должны располагаться ответы,чтобы получить слово.?
inftech82: точно незнаю
inftech82: может по возрастанию
parus77: в задании должно быть написано-как.

Ответы

Ответ дал: parus77
0

Ответ:

Пошаговое объяснение:

я решила примеры,но не пойму по какому правилу надо составить это слово

Приложения:

iramazurk: Я тоже не пойму как найти слово
parus77: если по убыванию то может быть слова"трак" и "кедр" только при условии,что буква К используется одновременно,служит концом первого слова и началом второго.Больше у меня фантазии не хватило.
iramazurk: Я вообще пытаюсь составить слово из 7 букв
iramazurk: Но в задании, 100% должно быть написано
parus77: я и составляла из 7 букв по убыванию получилось тракедр-вот решила разделить на слова,которые хотя бы имеют смысл.
parus77: Когда наши детишки научатся правильно задавать вопросы?Столько времени теряют зря....
inftech82: В задании просто было написано разгадай слово и все
Ответ дал: iramazurk
0

Ответ:

Пошаговое объяснение:

1) = 20 - (-5) = 25 (Т)

2) = -1 - (-3) = -1 + 3 = 2 (А)

3) = -8 * (-2) + 1 = 16 + 1 = 17 (Р)

4) = -5 * 5 - 30 = -25 - 30 = - 55 (Р)

5) = 3 * (-2) + 5 = -6 + 5 = -1 (Е)

6) = -8 * 9 + 72 = -72 + 72 = 0 (К)

7) = -6 - (-3) = -6 + 3 = -3 (Д)

Вас заинтересует