• Предмет: Математика
  • Автор: spongermaner
  • Вопрос задан 3 года назад

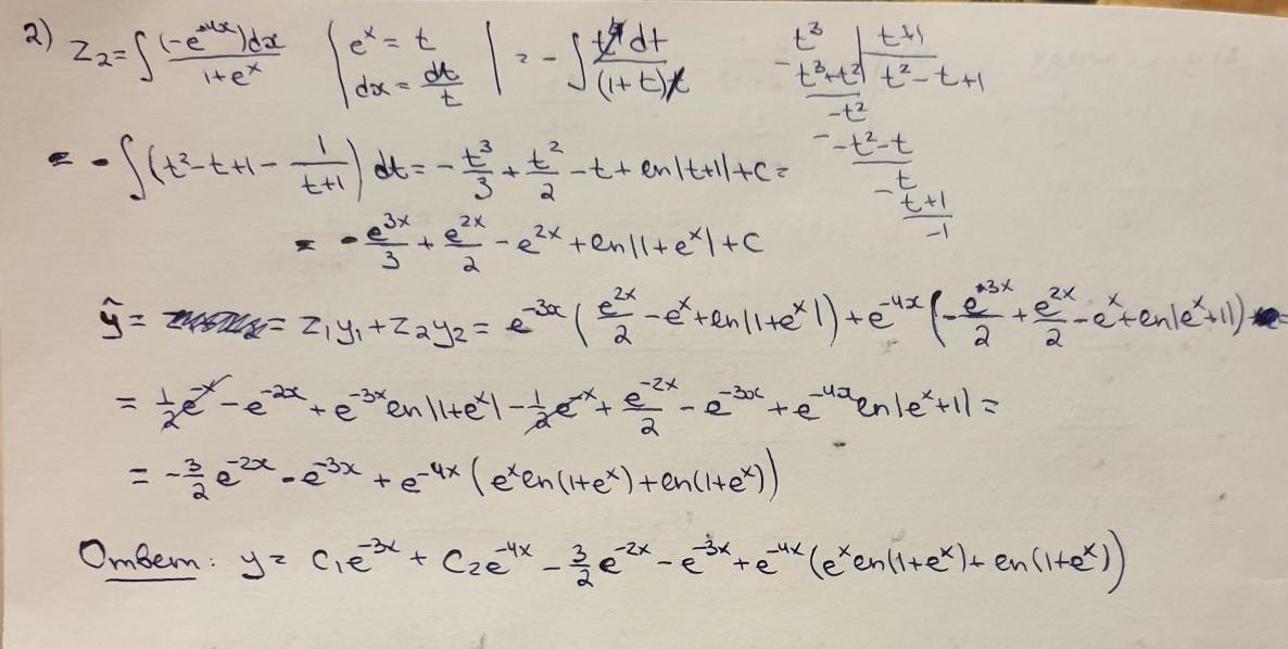
Срочно помогите решить дифф. уравнение...


y''+7y'+12y=1/(1+e^x)

Ответы

Ответ дал: Miroslava227
1

Ответ:

решение на фотографиях

Приложения:
Вас заинтересует