• Предмет: Алгебра
  • Автор: mary2839
  • Вопрос задан 3 года назад

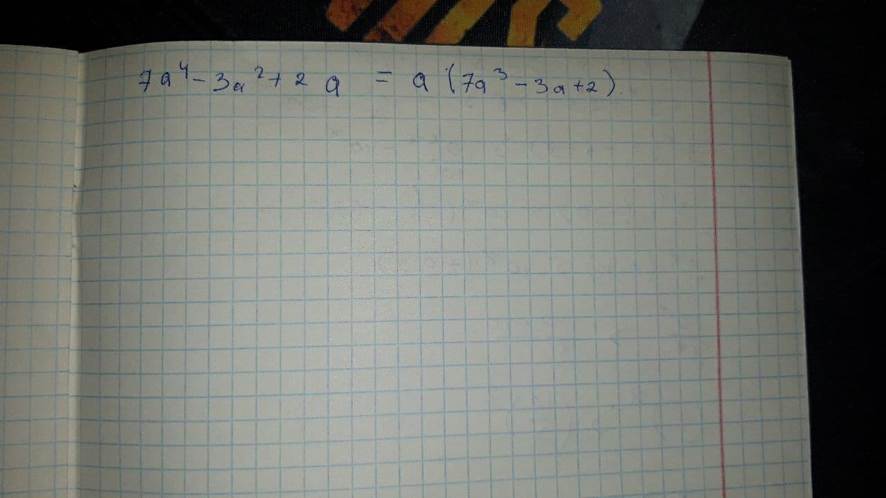
7a⁴-3a²+2a разложить многочлен на множители​

Ответы

Ответ дал: kirill0024
2

Ответ:

Объяснение:

Существует 5 основных способов разложения многочлена на множители:

вынесение общего множителя за скобки;

использование формул сокращенного умножения;

метод группировки;

метод выделения полного квадрата;

разложение квадратного трехчлена на множители.

Приложения:
Вас заинтересует