• Предмет: Математика
  • Автор: nurkenbi
  • Вопрос задан 3 года назад

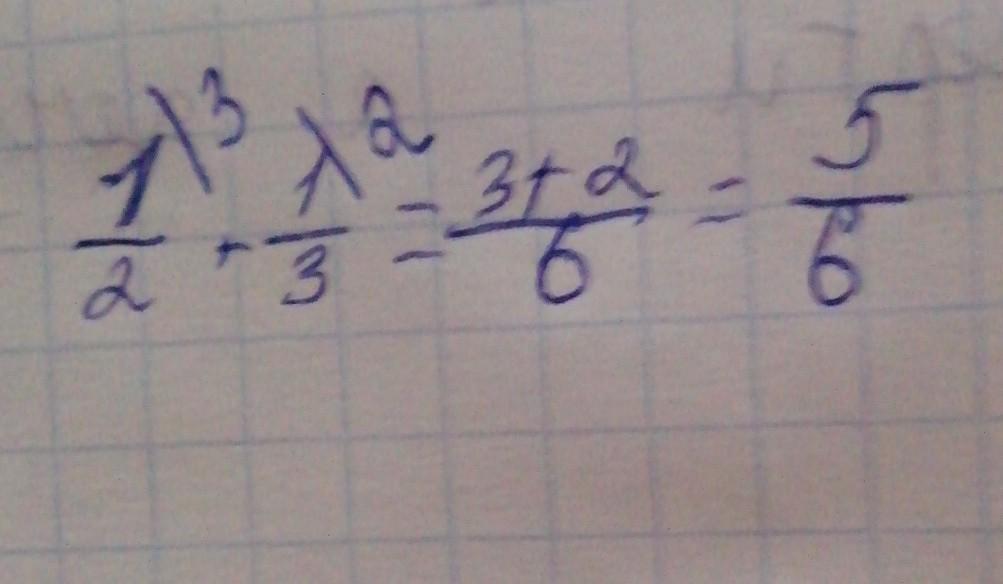
1/2+1/3
Осыны шығару кажет​

Ответы

Ответ дал: sabina677
0

Ответ:

Всё на фото

Пошаговое объяснение:

Ну это для 20 слов:)

Приложения:

nurkenbi: 2/3+ 1/4 пж
sabina677: вопрос сондай жасшиз
sabina677: 2/3+1/4=8+3/12=11/12
nurkenbi: 1/3 - 1/6
sabina677: жоқ болмайд олай
sabina677: сен бірінші сондай Вопрос жаз
sabina677: мен комментариеға жазбайм
sabina677: неудобно
nurkenbi: пж
sabina677: жоқ, вопрос жаз
Вас заинтересует