• Предмет: Математика
  • Автор: aminagul
  • Вопрос задан 3 года назад

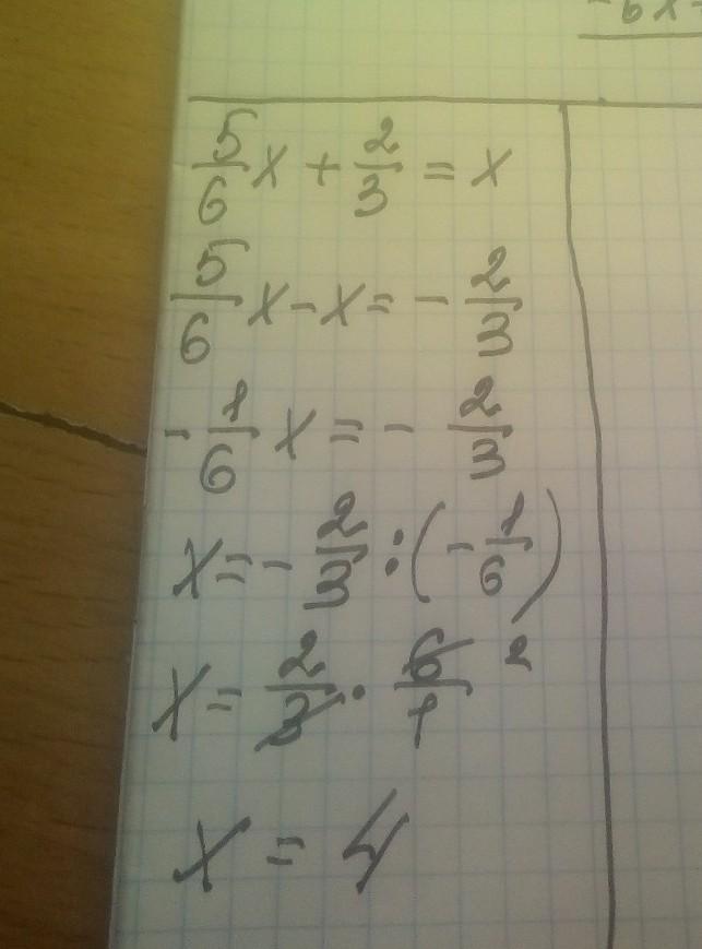
5/6х+2/3=х Реши уравнение и определи его корень
4
-2
-4
2​

Ответы

Ответ дал: manyny06
14

Ответ:

решение на фотографии

Приложения:

gusmanovazhanel: Это правильно, спасибо
kamzaevmuhammed204: ссссссссссссссссссппппппппппппаааааааааааассссссссссссииииииииииииббббббббббббоооооооооооо
Ответ дал: vityamath
5

Ответ:

Пошаговое объяснение:

5/6х+2/3=х    I * 6

5x+4=6x

5x+4-6x=0

-x+4=0

-x= -4

x=4

Вас заинтересует