• Предмет: Математика
  • Автор: Scromdio
  • Вопрос задан 3 года назад

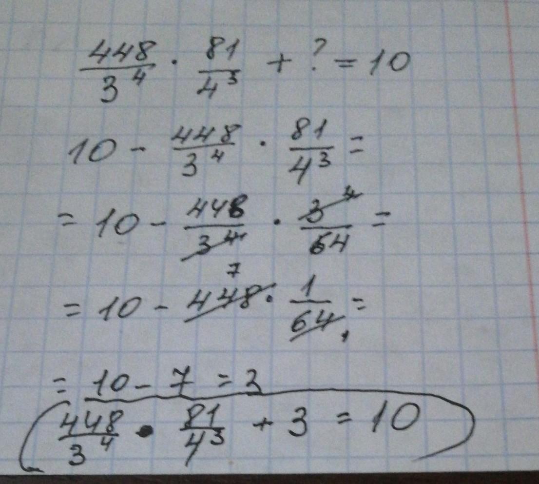
804 вместо звездочек вставьте число чтобы было верным равенство

Приложения:

Ответы

Ответ дал: serovaksusa1
1

Ответ:

Смотри решение на фото

Приложения:

Scromdio: а можно 6 еще?
serovaksusa1: в 6 примере там после равно стоит 10?
serovaksusa1: смотрите решение 6 примера, я добавила его
serovaksusa1: Нашли решение 6 примера?
Scromdio: все спасибо большое очень помог
dashatarasova008: а можно 7?
Вас заинтересует