Приложения производной. Исследование функций методами дифференциального исчисления
ПОЖАЛУЙСТА РЕШИТЕ ОЧЕНЬ НУЖНО!!!!
Приложения:

Ответы
Ответ дал:
0
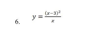
x=3
2
x -6x+9=0
2
(x-3)=0
x=3
Вас заинтересует
2 года назад
2 года назад
7 лет назад
7 лет назад