Ответы
Ответ дал:
0
Ответ:
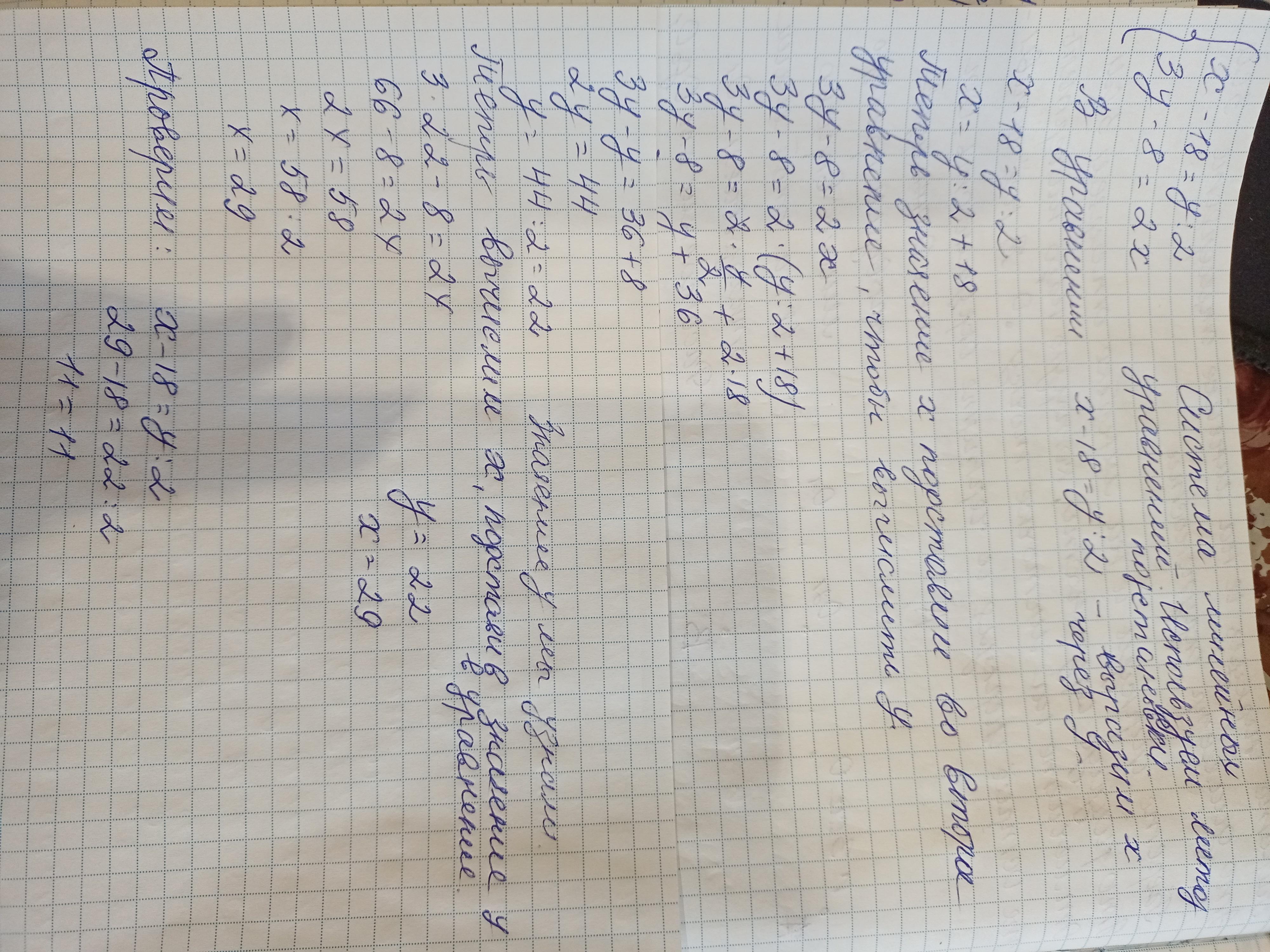
х=29 у=22
Пошаговое объяснение:
Приложения:

Вас заинтересует
2 года назад
2 года назад
8 лет назад