Помогите решить
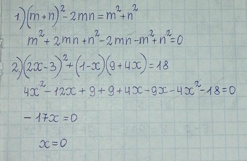
1)(m+n)²-2mn=m²+n²
2)(2x-3)²+(1-x)(9+4x)=18
alevtinakardash20:
уравнение решить или тотожность доказать?
Ответы
Ответ дал:
1
Решение смотри на фотографии
Приложения:

Вас заинтересует
2 года назад
2 года назад
2 года назад
7 лет назад
7 лет назад
9 лет назад