ПЛИЗ СРОЧНО!
(2х – 3) – 5 (3 – 2х) = 0.
tamarabernukho:
(2х – 3) – 5 (3 – 2х) = 0;(2х – 3) + 5 (2x - 3) = 0; 6(2x-3)=0; 2x-3=0; x=1.5
Ответы
Ответ дал:
1
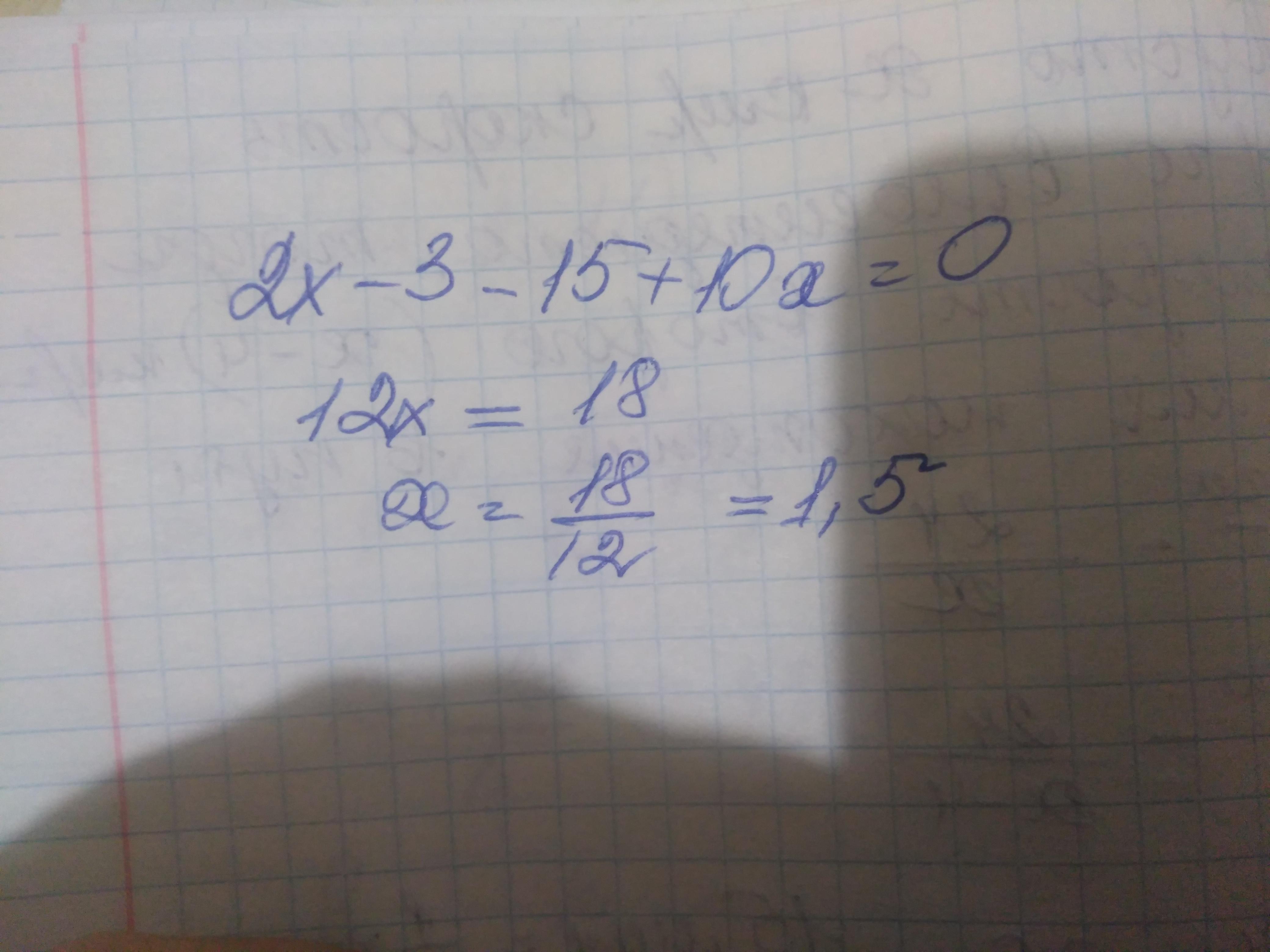
Ответ:
2х-3-15+10х=0
2х+10х=18
12х=18
х=18:12
Объяснение:
вроде так
Ответ дал:
2
Смотри.........................
Приложения:

Вас заинтересует
2 года назад
2 года назад
2 года назад
2 года назад
7 лет назад
7 лет назад