• Предмет: Алгебра
  • Автор: skyer10
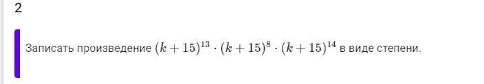
  • Вопрос задан 3 года назад

Помогите, пожалуйста

Приложения:

Ответы

Ответ дал: wejde
0

Ответ:

(k+15)³⁵

Объяснение:

(k+15)¹³*(k+15)⁸*(k+15)¹⁴=(k+15)¹³⁺⁸⁺¹⁴=(k+15)³⁵

Вас заинтересует