• Предмет: Физика
  • Автор: avangard225
  • Вопрос задан 3 года назад

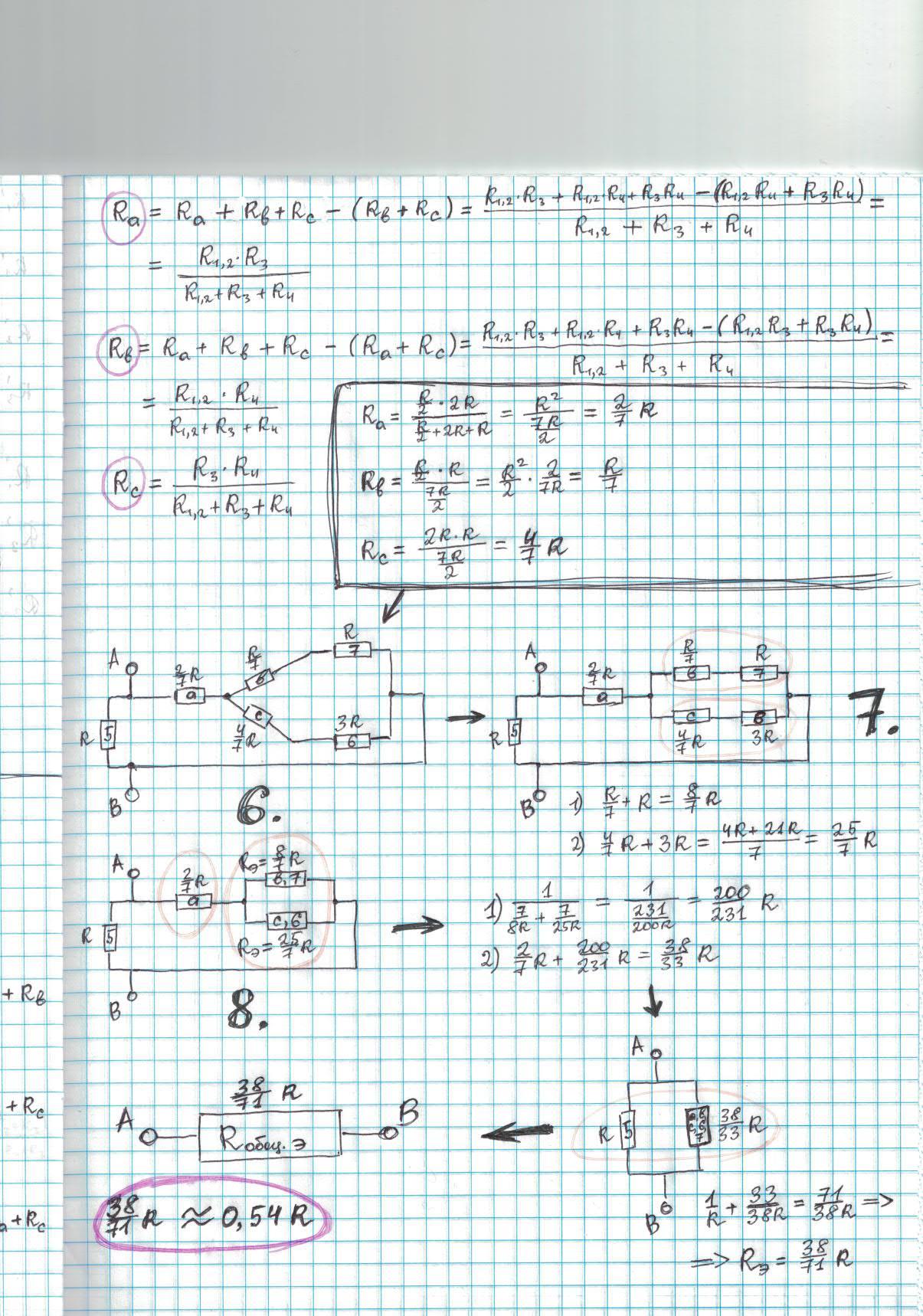
построить эквивалентную схему и рассчитать сопротивление цепи,пожалуйста помогите

Приложения:

Ответы

Ответ дал: Пришелец13
0

Ответ - в сканах. На самом деле через резистор 4 течёт довольно малый ток. И напряжение на нём падает на небольшую величину. Сопротивление этого резистора можно сделать сколь угодно большим (чем больше его сопротивление, тем меньше сила тока в нём) - общее сопротивление цепи особо не изменится. Его даже можно убрать из расчётов - тогда преобразовывать треугольник в звезду будет уже не нужно. Это если надо высчитать сопротивление цепи. Но если надо знать какие токи будут течь в определённых участках, какими будут падения напряжения на них, то этот резистор нужно учитывать при расчётах.

Также, вместо треугольника резисторов R1,2, R4 и R3 в звезду можно преобразовать треугольник резисторов R4, R6 и R7.

Приложения:
Вас заинтересует