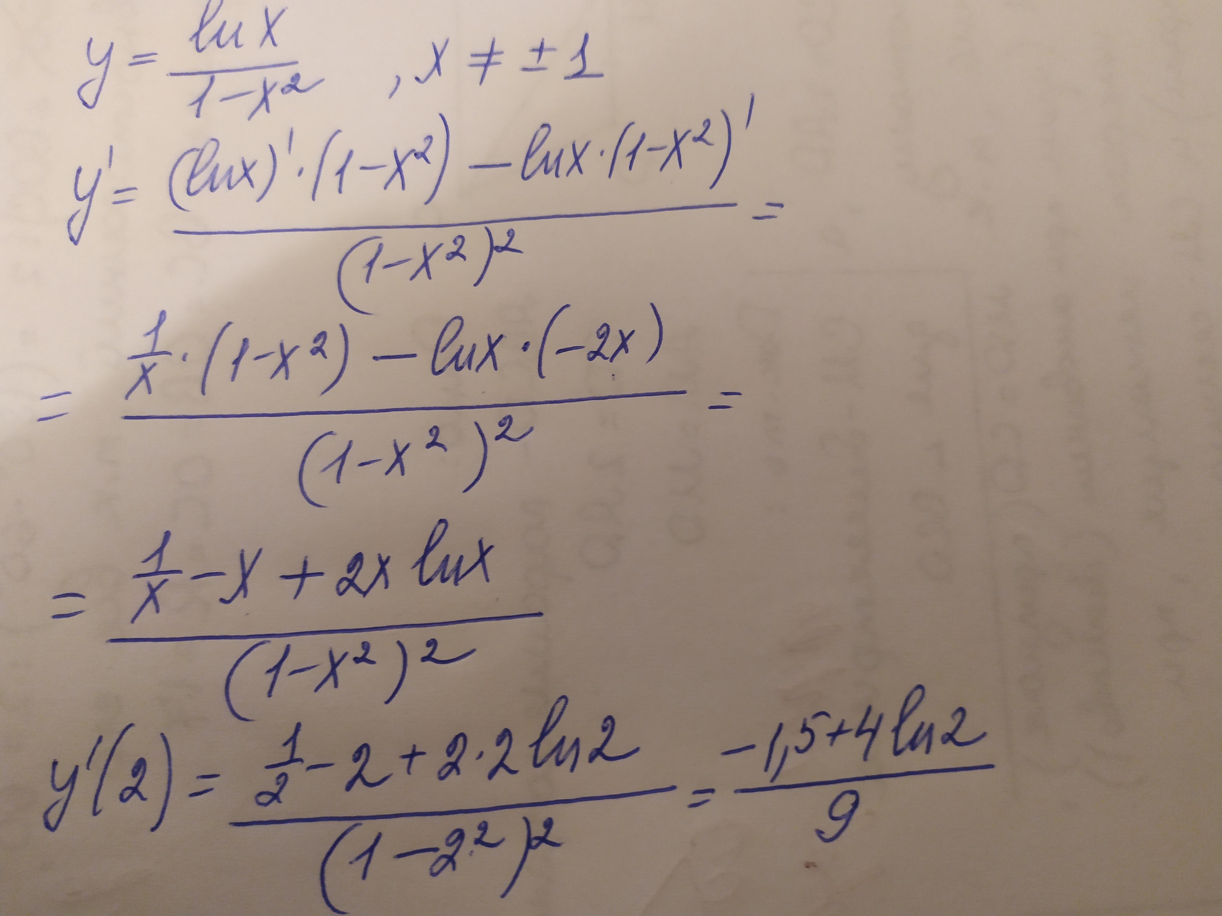
найти производную функции
y=ln x/1-x2 и вычислить y'(2)
срочно,отдам все баллы последние,помогите
Ответы
Ответ дал:
2
Ответ:
Пошаговое объяснение:
Приложения:

viennabacker:
спасибооо
Вас заинтересует
2 года назад
2 года назад
2 года назад
2 года назад
7 лет назад