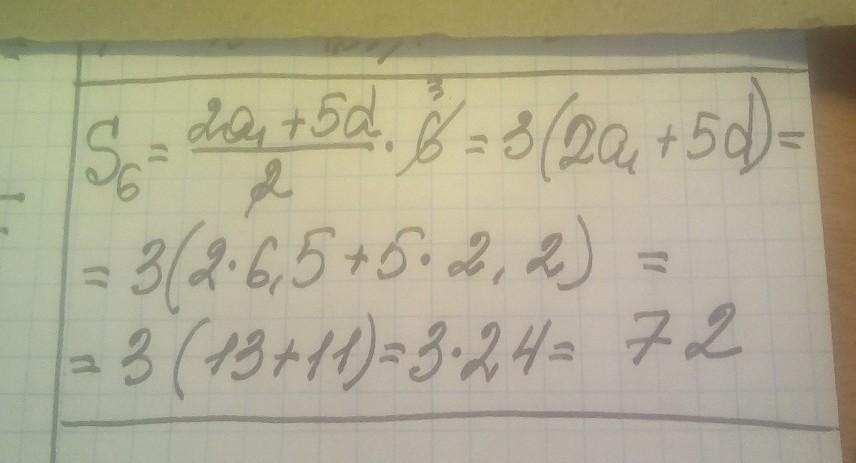
Дана арифметическая прогрессия (an). Известно, что a1 = 6,5 и d = 2,2. Вычисли сумму первых шести членов арифметической прогрессии.
Ответы
Ответ дал:
1
Ответ:
решение на фотографии
Приложения:

Ответ дал:
0
Вас заинтересует
2 года назад
2 года назад
2 года назад
7 лет назад
9 лет назад
9 лет назад