Ответы
Ответ дал:
2
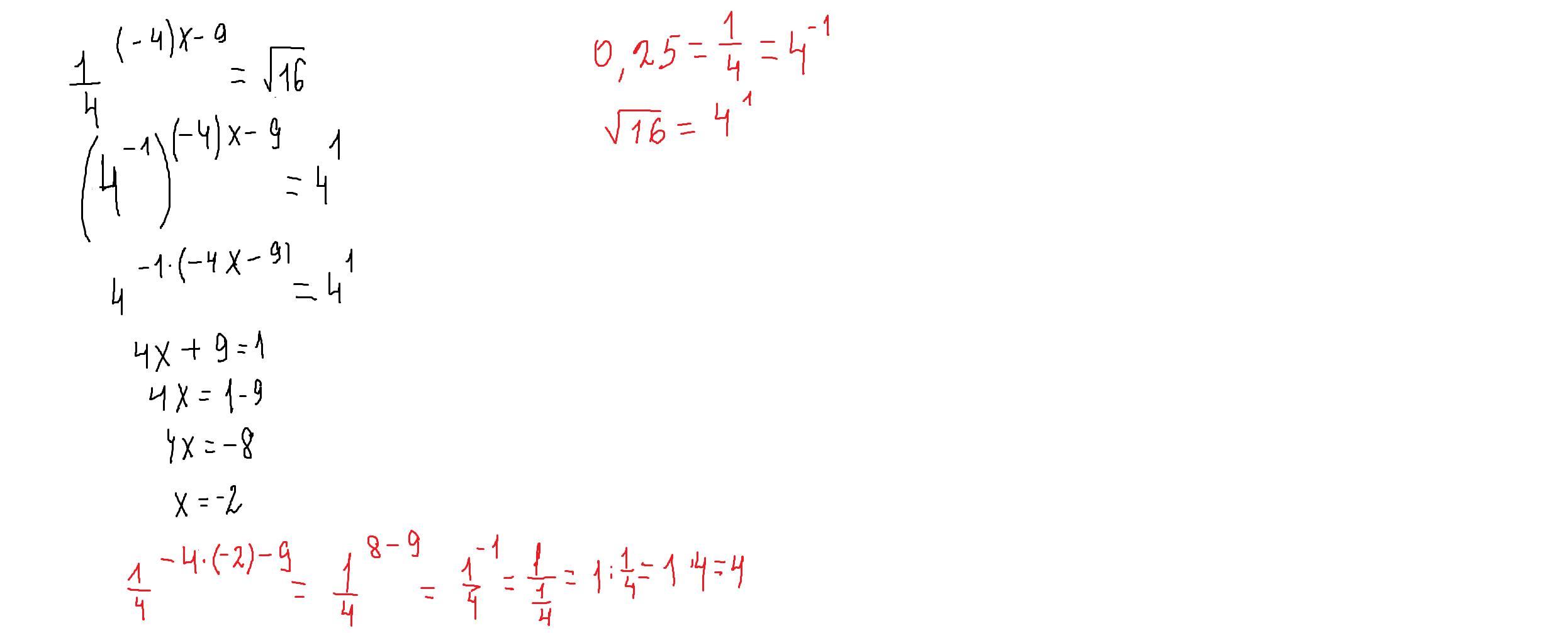
Ответ:
х= - 2
Пошаговое объяснение:
решение внизу
Приложения:

Вас заинтересует
2 года назад
2 года назад
8 лет назад
9 лет назад
9 лет назад