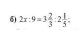
Решите уравнение таким же способом как на 2 фотке!Это объязательно таким же способом решения)
Приложения:


Ответы
Ответ дал:
0
Ответ:
Пошаговое объяснение:
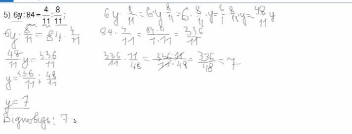
2х * 2 1/5 = 9 * 3 2/3
2х * 11/5 = 9 * 11/3
22/5х = 99/3
22/5х = 33
х = 33 : 22/5
х = 33 * 5/22
х = 3*5 / 2
х = 15/2
х = 7 1/2
Ответ дал:
0
2х * 2 1/5 = 9 * 3 2/3
2х * 11/5 = 9 * 11/3
22/5х = 99/3
22/5х = 33
х = 33 : 22/5
х = 33 * 5/22
х = 3*5 / 2
х = 15/2
х = 7 1/2
Вас заинтересует
2 года назад
2 года назад
2 года назад
9 лет назад
9 лет назад