Ответы
Ответ дал:
1
Ответ:
Пошаговое объяснение:
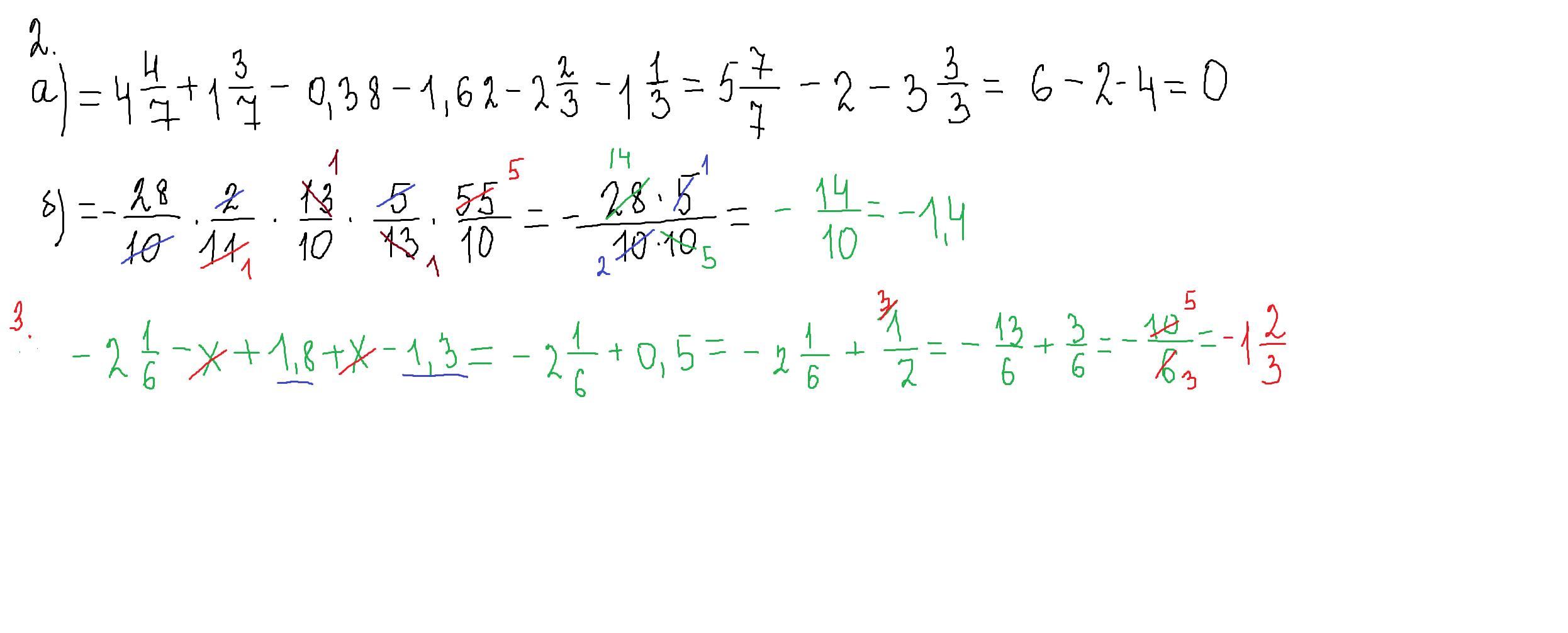
решение внизу.
в примере б) во 2 задании три "минуса" при умножении дают минус,поэтому сразу записала один минус перед всем произведением
Приложения:

Вас заинтересует
2 года назад
2 года назад
2 года назад
7 лет назад
9 лет назад